电脑桌面
添加小米粒文库到电脑桌面
安装后可以在桌面快捷访问

山东省日照市高一数学下学期期中试卷(含解析)-人教版高一全册数学试题VIP免费

山东省日照市高一数学下学期期中试卷(含解析)-人教版高一全册数学试题_第1页
1/20
山东省日照市高一数学下学期期中试卷(含解析)-人教版高一全册数学试题_第2页
2/20
山东省日照市高一数学下学期期中试卷(含解析)-人教版高一全册数学试题_第3页
3/20
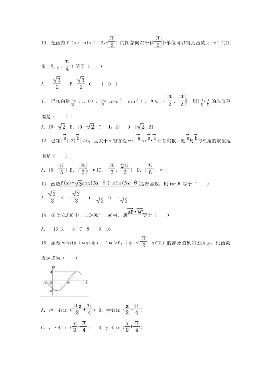
2016-2017学年山东省日照高一(下)期中数学试卷一、选择题(本大题共15小题,每小题5分,共75分)1.若角600°的终边上有一点(﹣4,a),则a的值是()A.4B.﹣4C.D.﹣2.已知sinα=,则cos2α=()A.B.C.D.3.已知向量=(1,2),=(x,﹣4),若∥,则•等于()A.﹣10B.﹣6C.0D.64.设cos(α+π)=(π<α<),那么sin(2π﹣α)的值为()A.B.C.﹣D.﹣5.已知tan(α+β)=3,tan(α﹣β)=5,则tan(2α)的值为()A.B.C.D.6.下列函数中,最小正周期为π,且图象关于直线x=对称的是()A.y=sin(2x+)B.y=sin(2x﹣)C.y=sin(﹣)D.y=sin(+)7.若cosα=﹣,α是第三象限的角,则sin(α+)=()A.B.C.D.8.若向量=(1,x),=(2x+3,﹣x)互相垂直,其中x∈R,则|﹣|等于()A.﹣2或0B.2C.2或2D.2或109.函数f(x)=sin2(x+)﹣sin2(x﹣)是()A.周期为π的奇函数B.周期为π的偶函数C.周期为2π的偶函数D.周期为2π的奇函数10.把函数f(x)=sin(﹣2x+)的图象向右平移个单位可以得到函数g(x)的图象,则g()等于()A.﹣B.C.﹣1D.111.已知向量=(1,0),=(cosθ,sinθ),θ∈[﹣,],则|+|的取值范围是()A.[0,]B.[0,]C.[1,2]D.[,2]12.已知||=2||≠0,且关于x的方程x2+||x+•=0有实根,则与的夹角的取值范围是()A.[0,]B.[,π]C.[,]D.[,π]13.函数是奇函数,则tanθ等于()A.B.﹣C.D.﹣14.在Rt△ABC中,∠C=90°,AC=4,则等于()A.﹣16B.﹣8C.8D.1615.函数y=Asin(ωx+φ)(ω>0,|φ|<,x∈R)的部分图象如图所示,则函数表达式为()A.y=﹣4sin()B.y=4sin()C.y=﹣4sin()D.y=4sin()二、填空题(本大题共5小题,每小题5分,共25分)16.已知向量=(3,1),=(1,3),=(t,2),若(﹣)⊥,则实数t的值为.17.已知α为第二象限角,sinα=,则tan2α=.18.如图,正六边形ABCDEF中,有下列四个命题:①+=2;②=2+2;③•=;④(•)=(•).其中真命题的代号是.(写出所有真命题的代号).19.已知A(1,2),B(3,4),C(﹣2,2),D(﹣3,5),则向量在上的射影为.20.求值:tan40°+tan20°+tan40°•tan20°=.三、解答题(本大题共5小题,共50分)21.已知向量=(3,﹣1),=(2,1),求:(1)(+2)•及|﹣|的值;(2)与夹角θ的余弦值.22.已知角α的终边过点P(﹣4,3)(1)求的值;(2)若β为第三象限角,且tanβ=,求cos(2α﹣β)23.已知:向量(1)若tanαtanβ=16,求证:;(2)若垂直,求tan(α+β)的值;(3)求的最大值.24.已知=(cosωx,sinωx),=(2cosωx+sinωx,cosωx),x∈R,ω>0,记,且该函数的最小正周期是.(1)求ω的值;(2)求函数f(x)的最大值,并且求使f(x)取得最大值的x的集合.25.已知函数sin(ωx﹣)﹣cos(ωx﹣)(ω>0)图象的两相邻对称轴间的距离为.(I)求f()的值;(II)将函数y=f(x)的图象向右平移个单位后,得到函数y=g(x)图象,求g(x)在区间[0,]上的单调性.2016-2017学年山东省日照五中高一(下)期中数学试卷参考答案与试题解析一、选择题(本大题共15小题,每小题5分,共75分)1.若角600°的终边上有一点(﹣4,a),则a的值是()A.4B.﹣4C.D.﹣【考点】G9:任意角的三角函数的定义.【分析】根据三角函数的定义建立方程关系进行求解即可.【解答】解: 角600°的终边上有一点(﹣4,a),∴tan600°=,即a=﹣4tan600°=﹣4tan=﹣4tan240°=﹣4=﹣4tan60°=﹣4,故选:B2.已知sinα=,则cos2α=()A.B.C.D.【考点】GT:二倍角的余弦;GH:同角三角函数基本关系的运用.【分析】由余弦的倍角公式cos2α=1﹣2sin2α代入即可.【解答】解:cos2α=1﹣2sin2α=1﹣2×=.故选C.3.已知向量=(1,2),=(x,﹣4),若∥,则•等于()A.﹣10B.﹣6C.0D.6【考点】9R:平面向量数量积的运算.【分析】根据∥,可得﹣4﹣2x=0,解得x=﹣2,则•=x﹣8,运算求得结果.【解答】解: 向量=(1,2),=(x,﹣4),∥,∴﹣4﹣2x=0,∴x=﹣2.则•=x...

1、当您付费下载文档后,您只拥有了使用权限,并不意味着购买了版权,文档只能用于自身使用,不得用于其他商业用途(如 [转卖]进行直接盈利或[编辑后售卖]进行间接盈利)。
2、本站所有内容均由合作方或网友上传,本站不对文档的完整性、权威性及其观点立场正确性做任何保证或承诺!文档内容仅供研究参考,付费前请自行鉴别。
3、如文档内容存在违规,或者侵犯商业秘密、侵犯著作权等,请点击“违规举报”。

碎片内容

山东省日照市高一数学下学期期中试卷(含解析)-人教版高一全册数学试题

您可能关注的文档

海博书城+ 关注
实名认证
内容提供者

从事历史教学,热爱教育,高度负责。

相关文档

确认删除?
VIP
微信客服
  • 扫码咨询
会员Q群
  • 会员专属群点击这里加入QQ群
客服邮箱
回到顶部