电脑桌面
添加小米粒文库到电脑桌面
安装后可以在桌面快捷访问

广东省瓷都中学08-09学年高三数学理第08周晚练(081021)-不等式VIP免费

广东省瓷都中学08-09学年高三数学理第08周晚练(081021)-不等式_第1页
1/3
广东省瓷都中学08-09学年高三数学理第08周晚练(081021)-不等式_第2页
2/3
广东省瓷都中学08-09学年高三数学理第08周晚练(081021)-不等式_第3页
3/3
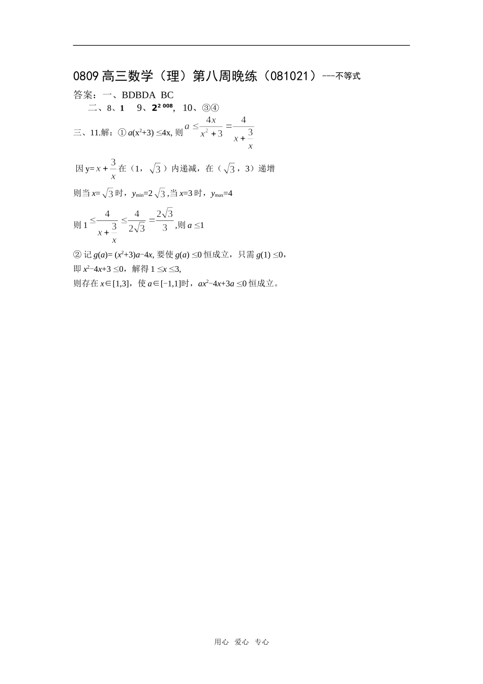
0809高三数学(理)第八周晚练(081021)---不等式班级:________姓名:______________座号:_______评分:一.选择题:(每小题8分)1.a、b、c∈R,则下列命题为真命题的是()①若a>b,则ac2>bc2;②若ac2>bc2,则a>b;③若a<b<0,则a2>ab>b2;④若a<b<0,则<。A.①③B.②③C.②④D.①④2.若a、b、c、d满足条件:c0的解集为{x|-32},则a的取值为()A.2B.C.-D.-25.已知不等式x22x3<0的解集为A,不等式x2x6<0的解集为B,不等式x2axb<0的解集为A∩B,则ab等于()A.3B.1C.1D.36.设a、b∈R且a+b=3,则的最小值是()A.6B.4C.2D.27.已知函数是R上的增函数,是其图象上的两点,那么的解集是()A.(1,4)B.(-∞,1]∪[4,+∞)C.(-1,2)D.(-∞,-1]∪[2,+∞)二.填空题:(每小题8分)用心爱心专心8.若关于x的不等式|x-2|+|x-1|≥a在R上恒成立,是a的最大值为___________9.已知,且都是正数,则的最小值是_________________.10.设0()a;③()a>aa;④aa0,其中不正确的不等式的序号是.三.解答题:(本题20分)11.①当x∈[1,3],ax2-4x+3a0恒成立,求a的范围;②是否存在实数x使得当a∈[-1,1]时,ax2-4x+3a0恒成立?用心爱心专心0809高三数学(理)第八周晚练(081021)---不等式答案:一、BDBDABC二、8、19、22008,10、③④三、11.解:①a(x2+3)4x,则因y=在(1,)内递减,在(,3)递增则当x=时,ymin=2,当x=3时,ymax=4则1,则a1②记g(a)=(x2+3)a-4x,要使g(a)0恒成立,只需g(1)0,即x2-4x+30,解得1x3,则存在x∈[1,3],使a∈[-1,1]时,ax2-4x+3a0恒成立。用心爱心专心

1、当您付费下载文档后,您只拥有了使用权限,并不意味着购买了版权,文档只能用于自身使用,不得用于其他商业用途(如 [转卖]进行直接盈利或[编辑后售卖]进行间接盈利)。
2、本站所有内容均由合作方或网友上传,本站不对文档的完整性、权威性及其观点立场正确性做任何保证或承诺!文档内容仅供研究参考,付费前请自行鉴别。
3、如文档内容存在违规,或者侵犯商业秘密、侵犯著作权等,请点击“违规举报”。

碎片内容

广东省瓷都中学08-09学年高三数学理第08周晚练(081021)-不等式

您可能关注的文档

海博书城+ 关注
实名认证
内容提供者

从事历史教学,热爱教育,高度负责。

确认删除?
VIP
微信客服
  • 扫码咨询
会员Q群
  • 会员专属群点击这里加入QQ群
客服邮箱
回到顶部