电脑桌面
添加小米粒文库到电脑桌面
安装后可以在桌面快捷访问

高考数学 考前最后一轮基础知识巩固之第三章 第2课 同角三角函数关系及诱导公式VIP免费

高考数学 考前最后一轮基础知识巩固之第三章 第2课 同角三角函数关系及诱导公式_第1页
1/4
高考数学 考前最后一轮基础知识巩固之第三章 第2课 同角三角函数关系及诱导公式_第2页
2/4
高考数学 考前最后一轮基础知识巩固之第三章 第2课 同角三角函数关系及诱导公式_第3页
3/4
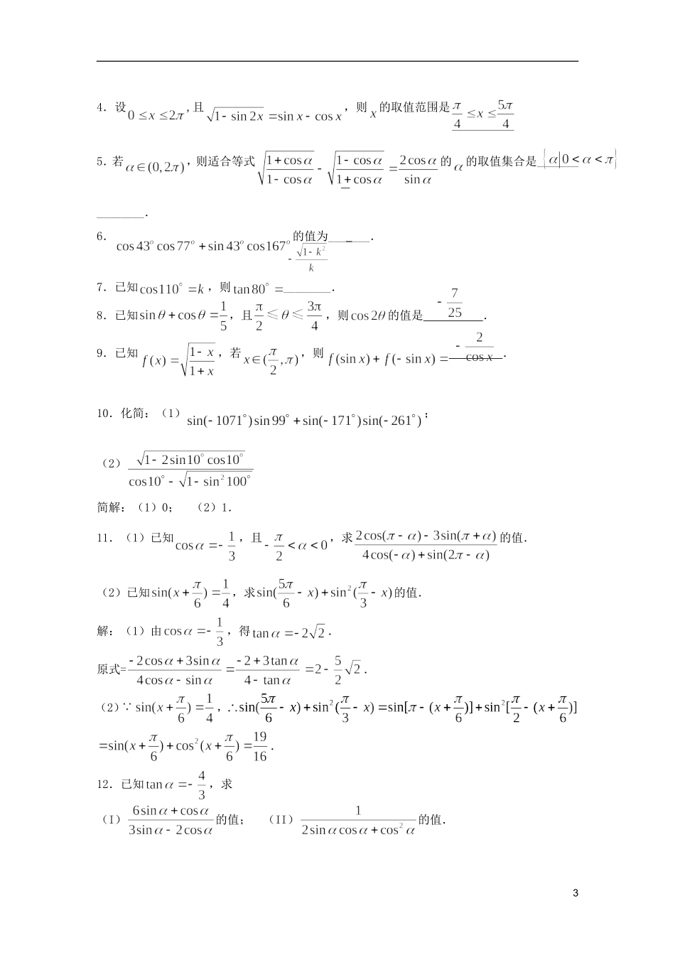
第2课同角三角函数关系及诱导公式【考点导读】1.理解同角三角函数的基本关系式;同角的三角函数关系反映了同一个角的不同三角函数间的联系.2.掌握正弦,余弦的诱导公式;诱导公式则揭示了不同象限角的三角函数间的内在规律,起着变名,变号,变角等作用.【基础练习】1.tan600°=______.2.已知是第四象限角,,则______.3.已知,且,则tan=______.4.sin15°cos75°+cos15°sin105°=___1___.5.已知,且,则______.【范例解析】例1.已知,求,的值.分析:利用诱导公式结合同角关系,求值.解:由,得,是第二,三象限角.若是第二象限角,则,;若是第三象限角,则,.点评:若已知正弦,余弦,正切的某一三角函数值,但没有确定角所在的象限,可按角的象限进行分类,做到不漏不重复.例2.已知是三角形的内角,若,求的值.分析:先求出的值,联立方程组求解.解:由两边平方,得,即.又是三角形的内角,,.由,又,得.1-联立方程组,解得,得.点评:由于,因此式子,,三者之间有密切的联系,知其一,必能求其二.例3.已知,.求值:(1);(2).分析:将所求的式子转化为关于的表达式.解:由,得.(1)原式=;(2)原式=.点评:已知的值,解关于,的齐次式化简,求值问题,常常转化为关于的函数式求解.例4.(1)设k为整数,化简:.(2)证明:.(1)解:当k为偶数时,原式=-1;当k为奇数时,原式=-1;综上,原式=-1.(2)证明:左边==右边,命题得证.【反馈演练】1.______________.2.已知,则的值为_____.3.“”是“A=30º”的必要而不充分条件.24.设,且,则的取值范围是5.若,则适合等式的的取值集合是_______________.6.的值为_______.7.已知,则________.8.已知,且,则的值是.9.已知,若,则.10.化简:(1);(2)简解:(1)0;(2)1.11.(1)已知,且,求的值.(2)已知,求的值.解:(1)由,得.原式=.(2),.12.已知,求(I)的值;(II)的值.3-解:(I)∵;所以==.(II)由,于是.4

1、当您付费下载文档后,您只拥有了使用权限,并不意味着购买了版权,文档只能用于自身使用,不得用于其他商业用途(如 [转卖]进行直接盈利或[编辑后售卖]进行间接盈利)。
2、本站所有内容均由合作方或网友上传,本站不对文档的完整性、权威性及其观点立场正确性做任何保证或承诺!文档内容仅供研究参考,付费前请自行鉴别。
3、如文档内容存在违规,或者侵犯商业秘密、侵犯著作权等,请点击“违规举报”。

碎片内容

高考数学 考前最后一轮基础知识巩固之第三章 第2课 同角三角函数关系及诱导公式

您可能关注的文档

海博书城+ 关注
实名认证
内容提供者

从事历史教学,热爱教育,高度负责。

确认删除?
VIP
微信客服
  • 扫码咨询
会员Q群
  • 会员专属群点击这里加入QQ群
客服邮箱
回到顶部