电脑桌面
添加小米粒文库到电脑桌面
安装后可以在桌面快捷访问

高中数学《3.2.1三角函数求值》练习题 新人教版必修4-新人教版高一必修4数学试题VIP免费

高中数学《3.2.1三角函数求值》练习题 新人教版必修4-新人教版高一必修4数学试题_第1页
1/4
高中数学《3.2.1三角函数求值》练习题 新人教版必修4-新人教版高一必修4数学试题_第2页
2/4
高中数学《3.2.1三角函数求值》练习题 新人教版必修4-新人教版高一必修4数学试题_第3页
3/4
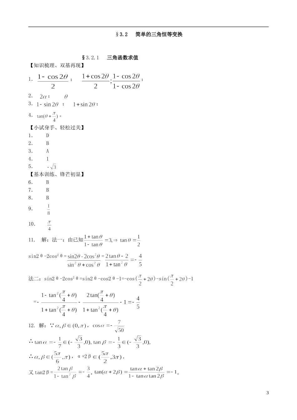
§3.2.1三角函数求值【学习目标细解考纲】1.熟练掌握和差倍角公式及公式的变形形式;2.能够熟练运用公式进行三角函数式的求值.【知识梳理、双基再现】1.;;2.;;3.;。4.=。【小试身手、轻松过关】1.已知,则()A.B.C.D.2.已知,,则的值为A.B.C.D.3.已知,那么的值为()A.B.C.D.4.5.已知则=【基本训练、锋芒初显】6.若,是第二限角,是第三象限角则的值是()A.B.C.D.7.已知是第三象限角,且,则等于()A.B.C.D.8.的值是()A.2B.4C.8D.169.;10.已知a、都是锐角,且则a+=。11.已知tan(45°+θ)=3,求sin2θ-2cos2θ的值112.若,,求α+2β。【举一反三、能力拓展】13.已知为锐角,求a+2的值。14.已知<的值。【名师小结、感悟反思】三角函数式的求值的关键是熟练掌握公式及应用,掌握公式的逆用和变形.三角函数式的求值的类型一般可分为:(1)“给角求值”:给出非特殊角求式子的值。仔细观察非特殊角的特点,找出和特殊角之间的关系,利用公式转化或消除非特殊角(2)“给值求值”:给出一些角得三角函数式的值,求另外一些角得三角函数式的值。找出已知角与所求角之间的某种关系求解(3)“给值求角”:转化为给值求值,由所得函数值结合角的范围求出角。(4)“给式求值”:给出一些较复杂的三角式的值,求其他式子的值。将已知式或所求式进行化简,再求之三角函数式常用化简方法:切割化弦、高次化低次注意点:灵活角的变形和公式的变形重视角的范围对三角函数值的影响,对角的范围要讨论2§3.2简单的三角恒等变换§3.2.1三角函数求值【知识梳理、双基再现】1.;;2.;3.;;4.。【小试身手、轻松过关】1.D2.B3.A4.15.【基本训练、锋芒初显】6.B7.B8.B9.10.11.解:法一:由已知sin2θ-2cos2θ==法二:sin2θ-2cos2θ=sin2θ-cos2θ-1=-cos()-sin()-1=12.解:∵,∴∴,α+2β,又tan2β=,,3∴α+2β=【举一反三、能力拓展】13.解∴<∵0<易求出。∴∵0<∴0<+2∴a+2.14.解由已知得.∵0

1、当您付费下载文档后,您只拥有了使用权限,并不意味着购买了版权,文档只能用于自身使用,不得用于其他商业用途(如 [转卖]进行直接盈利或[编辑后售卖]进行间接盈利)。
2、本站所有内容均由合作方或网友上传,本站不对文档的完整性、权威性及其观点立场正确性做任何保证或承诺!文档内容仅供研究参考,付费前请自行鉴别。
3、如文档内容存在违规,或者侵犯商业秘密、侵犯著作权等,请点击“违规举报”。

碎片内容

高中数学《3.2.1三角函数求值》练习题 新人教版必修4-新人教版高一必修4数学试题

您可能关注的文档

确认删除?
微信客服
  • 扫码咨询
会员Q群
  • 会员专属群点击这里加入QQ群