电脑桌面
添加小米粒文库到电脑桌面
安装后可以在桌面快捷访问

江西乐安一中高三数学 16三角函数复习训练VIP免费

江西乐安一中高三数学 16三角函数复习训练_第1页
1/4
江西乐安一中高三数学 16三角函数复习训练_第2页
2/4
江西乐安一中高三数学 16三角函数复习训练_第3页
3/4
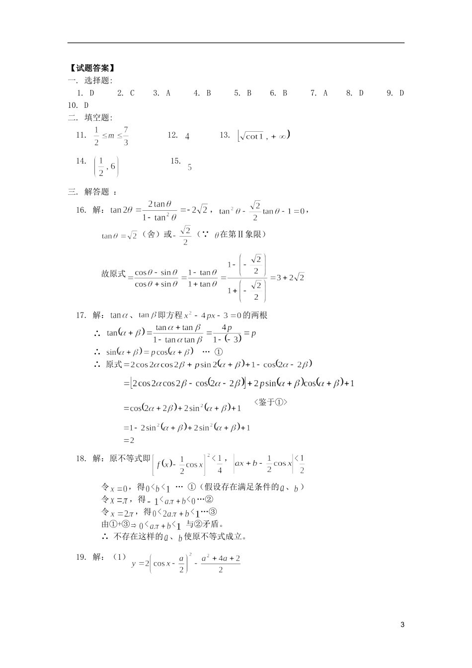
【同步教育信息】一.本周教学内容:三角函数复习训练【模拟试题】一.选择题:1.已知为第一象限角,那么下面一定为正值的是()。A.B.C.D.2.已知弧度的圆心角在某扇形中所对弦长为,则在此扇形中它所对的弧长为()。A.B.C.D.3.已知<<,则下列各式中正确的是()A.<时表达式为()A.B.C.D.5.存在实数,使和对于定义域内的一切实数同时成立,则的一个值为()A.B.C.D.6.设为常数,,则函数的最大值为()A.B.C.D.7.方程的实根个数为()A.B.C.D.无数多个8.若函数图象关于直线对称,那么的值为()A.B.C.D.9.已知>,则的最小值为()A.B.C.D.10.若方程恰有两个解,则实数的取值集合为()A.B.C.D.二.填空题:111.关于的方程有实数解,则实数的取值范围为12.已知角的始边为轴非负半轴,终边上有一点,<,则的值为13.函数的值域为14.已知曲线:,曲线:,则与公共点的坐标为15.方程在区间上的解的个数为三.解答题:16.已知,<<,求的值。17.已知函数图象过点和,求的值。18.是否存在、,使函数对任意满足<?若存在,求出、的值;若不存在,说明理由。19.设关于的函数最小值为,(1)试写出表达式,(2)当时求的最大值。2【试题答案】一.选择题:1.D2.C3.A4.B5.B6.B7.A8.D9.D10.D二.填空题:11.12.13.14.15.三.解答题:16.解:,,(舍)或(∵在第Ⅱ象限)故原式17.解:、即方程的两根∴∴…①∴原式<鉴于①>18.解:原不等式即<,<令,得<<…①(假设存在满足条件的、)令,得<<…②令,得<<…③由①+③<<与②矛盾。∴不存在这样的、使原不等式成立。19.解:(1)3(ⅰ)<时,(ⅱ)时,(ⅲ)>时,∴(2),则或∴,,当时。4

1、当您付费下载文档后,您只拥有了使用权限,并不意味着购买了版权,文档只能用于自身使用,不得用于其他商业用途(如 [转卖]进行直接盈利或[编辑后售卖]进行间接盈利)。
2、本站所有内容均由合作方或网友上传,本站不对文档的完整性、权威性及其观点立场正确性做任何保证或承诺!文档内容仅供研究参考,付费前请自行鉴别。
3、如文档内容存在违规,或者侵犯商业秘密、侵犯著作权等,请点击“违规举报”。

碎片内容

江西乐安一中高三数学 16三角函数复习训练

您可能关注的文档

海博书城+ 关注
实名认证
内容提供者

从事历史教学,热爱教育,高度负责。

相关文档

确认删除?
VIP
微信客服
  • 扫码咨询
会员Q群
  • 会员专属群点击这里加入QQ群
客服邮箱
回到顶部