电脑桌面
添加小米粒文库到电脑桌面
安装后可以在桌面快捷访问

新人教版九年级数学上册第二十一章二次根式全章质量检测试题一VIP免费

新人教版九年级数学上册第二十一章二次根式全章质量检测试题一_第1页
1/5
新人教版九年级数学上册第二十一章二次根式全章质量检测试题一_第2页
2/5
新人教版九年级数学上册第二十一章二次根式全章质量检测试题一_第3页
3/5
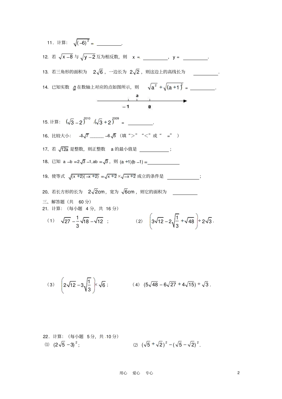
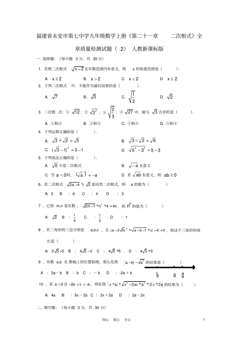
用心爱心专心1福建省永安市第七中学九年级数学上册《第二十一章二次根式》全章质量检测试题(2)人教新课标版一.选择题:(每小题3分,共30分)1.若使二次根式2x在实数范围内有意义,则x的取值范围是().A.2xB.2xC.2xD.2x2.下列二次根式中,不能作为最后结果的是().A.7B.3C.12D.23.二次根式:①12;②23;③23;④27中,能与3合并的是().A.①和②B.②和③C.①和④D.③和④4.下列运算正确的是().A.523B.623C.13)13(2D.3535225.下列说法正确的是().A.0不是二次根式B.a无意义C.当0a时,aa2D.若ab有意义,则0ab6、若二次根式24a与2是同类二次根式,则a的值为()A:5B:6C:4D:37、已知m,n是实数,22144mnn,则mn的值为()A:2B:14C:12D:18、若三角形的三边分别是a,b,c,且2(25)140aabc,则这个三角形的周长是()A:25+5B:453C:455D:4539、实数a,b在数轴上的位置如图,那么化简2aba的结果是()A:2a-bB:bC:-bD:-2a+b10、若0a且2axa,则化简22222xaxaxaxa的结果为()A:4aB:6x-2aC:2x+2aD:2a-2x二、填空题:(每小题3分,共30分)用心爱心专心211.计算:2(6)=.12.若8x与2y互为相反数,则x=,y=.13.若三角形的面积为62,一边长为22,则这边上的高线长为.14.已知实数在数轴上对应的点如图所示,则221aa=.15.计算:200920102323=.16、比较大小:57______65(填“>”“<”或“=”)17、若12a是整数,则正整数a的最小值是;18、已知231,3abab,则(1)(1)ab19、使等式(2)(2)22xxxx成立的条件是;20、若长方形的长为cm22,宽为cm6,则它的面积为三、解答题(共60分)21.计算:(每小题4分,共16分)(1)12718123;(2)1312248233.(3)1212363;(4)3)154276485(.22.计算:(每小题5分,共10分)⑴2)352(;⑵22)25()25(.用心爱心专心323.(8分)要焊接如图所示的钢架,大约需要多少米钢材(精确到0.1m)?BAC2m1m4mDwww.czsx.com.cn24.(8分)已知32,32xy,求222yxyx的值.25.(8分)如图,实数a、b在数轴上的位置,化简222()abab.用心爱心专心426.(10分)观察下列等式:①12)12)(12(12121;②23)23)(23(23231;③34)34)(34(34341;⋯⋯回答下列问题:⑴化简:nn11=;(n为正整数)⑵利用上面所揭示的规律计算:431321211201020091200920081用心爱心专心5参考答案:一.选择题:(每小题3分,共30分)ACCBD,DADCA二、填空题:(每小题4分,共20分)11.6.12.x=8,y=2.13.23.14.1.15.2-3.16.>17.318—319.22x20.43三、解答题(共60分)21⑴3-2;⑵314.(3)4(4)53622.⑴51229;⑵104.23.7+35≈3×2.24+7≈13.7(m)24.2232yx12.25.-2b26.⑴nn1;⑵12010

1、当您付费下载文档后,您只拥有了使用权限,并不意味着购买了版权,文档只能用于自身使用,不得用于其他商业用途(如 [转卖]进行直接盈利或[编辑后售卖]进行间接盈利)。
2、本站所有内容均由合作方或网友上传,本站不对文档的完整性、权威性及其观点立场正确性做任何保证或承诺!文档内容仅供研究参考,付费前请自行鉴别。
3、如文档内容存在违规,或者侵犯商业秘密、侵犯著作权等,请点击“违规举报”。

碎片内容

新人教版九年级数学上册第二十一章二次根式全章质量检测试题一

您可能关注的文档

爱的疯狂+ 关注
实名认证
内容提供者

该用户很懒,什么也没介绍

确认删除?
VIP
微信客服
  • 扫码咨询
会员Q群
  • 会员专属群点击这里加入QQ群
客服邮箱
回到顶部