电脑桌面
添加小米粒文库到电脑桌面
安装后可以在桌面快捷访问

有机化学试题库命名和写结构VIP免费

有机化学试题库命名和写结构_第1页
1/12
有机化学试题库命名和写结构_第2页
2/12
有机化学试题库命名和写结构_第3页
3/12
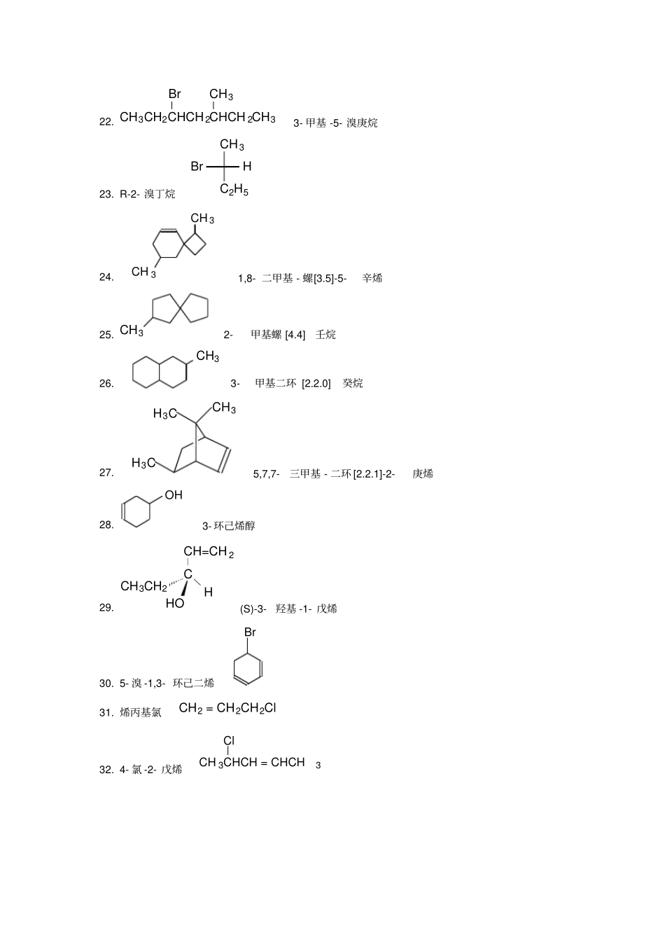
命名和写结构(分子式写在前面为命名、写在后面为写结构)1.CH3CH3CHCH3CH3CH2CHCH2CH2CCH2CH3CH32,6,6-三甲基-3-乙基辛烷2.CH3CH2CH2CHCHCH2CH3CH3CH2CH2CH34-甲基-5-乙基辛烷3.2,2,7-三甲基-6-乙基辛烷4.CH3CH2C=CH2CH2CH2CH32-乙基-1-戊烯5.(E)-1-溴丙烯C=CBrHHCH36.C=CCH3CH2CH(CH3)2CH3CH2CH2CH3(Z)3-甲基-4-异丙基-3-庚烯7.异戊二烯CH2=CCH=CH2CH38.3-甲基-1-丁炔(CH3)2CHCCH9.CH3CHCH=CHCH2CCCH3CH37-甲基-5-辛烯-2-炔10.CH2=CHC≡CHHCH3(S)3-甲基-1-戊烯-4-炔11.C=CCH3HCHCHCCH3CH3(2Z)-4-甲基-2-庚烯-5-炔12.CH3C=CHCH2CH3C=CHHH(2E,4Z)-2,4-庚二烯13.4-甲基环己烯CH314.(2S,3R)-2,3-二氯丁烷的Fischer投影式CH3HClHClCH315.2-甲基丁烷的最稳定Newman投影式CH3CH3CH3HHH16.(R,S)-2,3-二羟基丁二酸的最稳定Newman投影式COOHHOOHCOOHHH17.(R,S)-2,3-二羟基丁二酸(内消旋酒石酸)的Fischer投影式COOHHOHHOHCOOH18.顺-1,2-二甲基环己烷的优势构象CH3CH319.反-1-乙基-3-异丙基环己烷的优势构象(CH3)2CHCH2CH320.顺-1-甲基-4-叔丁基环己烷的优势构象C(CH3)3CH321.反式十氢奈的构象式HH22.CH3CH2CHCH2CHCH2CH3BrCH33-甲基-5-溴庚烷23.R-2-溴丁烷CH3BrHC2H524.CH3CH31,8-二甲基-螺[3.5]-5-辛烯25.CH32-甲基螺[4.4]壬烷26.CH33-甲基二环[2.2.0]癸烷27.H3CH3CCH35,7,7-三甲基-二环[2.2.1]-2-庚烯28.OH3-环己烯醇29.CCH3CH2CH=CH2HHO(S)-3-羟基-1-戊烯30.5-溴-1,3-环己二烯Br31.烯丙基氯CH2=CH2CH2Cl32.4-氯-2-戊烯CH3CHCH=CHCH3Cl33.对二甲苯CH3CH334.CH3CH2CHCH2CHCH2CH3CH33-甲基-5-苯基庚烷35.CH3C=CHCH2CH2CH32-苯基-2-己烯36.4-硝基苄基溴CH2BrNO237.苯磺酸SO3H38.对-氨基苯磺酰胺NH2SO2NH239.COOHCH35-甲基-1-萘甲酸40.Cl-氯蒽41.9-硝基菲NO242.甘油CH2OHCHOHCH2OH43.SO3HOH间-羟基苯磺酸44.OHOCH3对-甲氧基苯酚45.2,4,6-三硝基苯酚OHNO2NO2O2N46.CH3CHCHCH3CH2CH3HO3-甲基-2-戊醇47.叔丁醇(CH3)3COH48.CH3CH=CHCH2CHOHCH34-己烯-2-醇49.苯甲醚OCH350.乙基叔丁基醚(CH3)3COCH2CH351.苯甲硫醇C6H5CH2SH52.二甲亚砜(CH3)2SO53.CH3CCHCH3OCH32-甲基-2,3-环氧丁烷54.四氢呋喃O55.18-冠-6OOOOOO56.β-萘酚OH57.2-丁烯醛CH3CH=CHCHO58.苯甲醛CHO59.2-甲基环己酮OCH360.CHCCH2CH3CH3O2-苯基-3-戊酮61.COCH3OCH3对-甲氧基苯乙酮62.2,5-戊二酮CH3CCH2CCH3OO63.苯肼NHNH264.OO对苯醌65.COOHCOOH邻苯二甲酸66.反-丁烯二酸C=CHOOCHHCOOH67.顺式亚油酸C=CCH3(CH2)4HHCH2C=CH(CH2)7COOHH68.硬脂酸CH3(CH2)16COOH69.软脂酸CH3(CH2)14COOH70.油酸CH3(CH2)7CH=CH(CH2)7COOH71.β-苯基丙烯酸C6H5CH=CHCOOH72.(2Z,4E)-2,4-己二烯酸CH3C=CHCOOHC=CHHH73.乙酸酐(CH3CO)2O74.邻-苯二甲酐OOO75.丁烯二酸酐OOO76.乙酰氯CH3COCl77.苯甲酰溴COBr78.COOCH2CH3苯甲酸乙酯79.3-戊酮酸CH3CH2CCH2COOHO80.CH3COCH2COOCH2CH3乙酰乙酸乙酯81.乙二酸二乙酯COOCH2CH3COOCH2CH382.HOOCCOCH2COOH草酰乙酸83.乙酰水杨酸COOHOCOCH384.水杨酸COOHOH85.醋酸酐(CH3CO)2O86.柠檬酸HOOCCH2CCH2COOHOHCOOH87.羟基丁二酸(苹果酸)HOOCCHCH2COOHOH88.-羟基丁酸钠HOCH2CH2CH2COONa89.邻-羟基苯甲酸COOHOH90.OO-戊内酯91.NOHδ-己内酰胺92.丙交酯OOH3CCH3OO93.(CH3)3N+CH2C5H6Br-溴化三甲基苄基铵94.胆碱[HOCH2CH2N+(CH3)3]OH-95.三乙胺(CH3)3N96.N-甲基-N-乙基苯胺NCH3CH2CH397.N,N-二甲基苯胺NCH3CH398.CH2CHCH2CH2CHCH3CH3NCH32-甲基-5-甲氨基己烷99.氯化重氮苯N2+Cl-100.偶氮苯N=N101.N-乙基丙酰胺CH3CHCONHCH2CH3102.邻苯二甲酰亚胺NHOO103.二甲基膦(CH3)2PH104.(C6H5)3P三苯基膦105.L-α-磷脂酸CH2OCORCR'COOHCH2OPO(OH)2106.α-呋喃甲酸OCHO107.3-甲基吡啶NCH3108.β-吡啶甲酰胺NCONH2109.4-甲基咪唑NNHCH3110.β-吲哚乙酸NCH2COOHH111.2-噻吩磺酸SSO3H112.3-硝基吡咯NHNO2113.甘油-α-软脂酸-β-硬脂酸-α’-油酸酯CH2OCO(CH2)14CH3CCH3(CH2)16COOHCH2OCO(CH2)7CH=CH(CH2)7CH3114.胆固醇HO115.胆酸COOHOHHOOH116.-D吡喃葡萄糖CH2OHHOOHOHOHO117.-D-半乳糖的稳定构象式OCH2OHOHHOHOOH118.-D-呋喃果糖OHOCH2HOOHHOHHHCH2OH119.-D-2-脱氧核糖OHOCH2OHHOHHHHH120.蔗糖OHOCH2CH2OHCH2OHHOOHOHOHOOHO121.麦芽糖CH2OHHOOHOHOHOOOCH2OHOHOH122.纤维二糖CH2OHHOOHOHOHOOOCH2OHOHOH123.S-半胱氨酸COOHHNH2CH2SH124.赖氨酸H2NCH2CH2CH2CH2CHCOOHNH2125.谷氨酸HOOCCH2CH2CHCOOHNH2126.脯氨酸NHCOOH127.谷胱甘肽HOOCCHCH2CH2CONHCHCONHCH2COOHNH2CH2SH128.腺嘌呤(6-氨基嘌呤)NNNHNNH2129.鸟嘌呤(2-氨基-6-羟基嘌呤)NNNHNOHH2N130.胞嘧啶NNNH2OH131.胸腺嘧啶NNNH2OCH3H132.5’-腺嘌呤核苷酸NNNNNH2OHHOPOCH2OOHOH133.ATPNNNNNH2OHHOP~OP~OPOCH2OOOOHOHOHOH吴百乐

1、当您付费下载文档后,您只拥有了使用权限,并不意味着购买了版权,文档只能用于自身使用,不得用于其他商业用途(如 [转卖]进行直接盈利或[编辑后售卖]进行间接盈利)。
2、本站所有内容均由合作方或网友上传,本站不对文档的完整性、权威性及其观点立场正确性做任何保证或承诺!文档内容仅供研究参考,付费前请自行鉴别。
3、如文档内容存在违规,或者侵犯商业秘密、侵犯著作权等,请点击“违规举报”。

碎片内容

有机化学试题库命名和写结构

您可能关注的文档

确认删除?
VIP
微信客服
  • 扫码咨询
会员Q群
  • 会员专属群点击这里加入QQ群
客服邮箱
回到顶部