电脑桌面
添加小米粒文库到电脑桌面
安装后可以在桌面快捷访问

电大微积分初步_2014年1月试题及答案剖析VIP免费

电大微积分初步_2014年1月试题及答案剖析_第1页
1/27
电大微积分初步_2014年1月试题及答案剖析_第2页
2/27
电大微积分初步_2014年1月试题及答案剖析_第3页
3/27
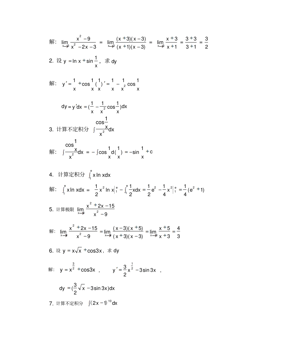
中央广播电视大学2013——2014学年度“开放专科”期末考试微积分初步试题2013年1月一、单项选择题(每小题4分,本题共20分)⒈函数)2ln()(xxxf的定义域是(C).C.(-2,-1)∪(-1,+∞)⒉当k=(B)时,函数0,0,1)(2xkxxxf,在0x处连续.B.1⒊下列结论中(D)不正确.D.)(xf在0xx处连续,则一定在0x处可微.⒋下列等式成立的是(A).A.)(d)(ddxfxxfx⒌下列微分方程中为可分离变量方程的是(C)C.yxyxydd;6.函数xxxxf5)2ln()(的定义域是(D).D.(2,3)∪(3,5〕7.设xy2lg,则dy=(A)A.dxx10ln18.下列函数在指定区间(-∞,+∞)上单调减少的是(B).B.x39.若函数xxxxf()(>0),则dxxf)((C).C.cxx10.微分方程0y的通解是(D)D.cy二、填空题(每小题4分,本题共20分)1.函数22)1(2xxxf,则)(xfx2+1.2.若xxx2sinlim0=2.3.曲线21xy在点)1,1(处的切线方程是x+2y-3=0.4.xxsd)in(sinx+c.5.微分方程yxexyyxsin)(4的阶数是3.6.函数24)2(2xxxf,则)(xfx2-2.7.若函数0,0,13sin)(xkxxxxf,在0x处连续,则k1.(09.1)8.曲线xy在点)1,1(处的切线斜率是21.9.xxxxd)2cos(sin21132.10.微分方程xyxyysin4)(653)(的阶数为5.(12.1)三、计算题(本题共44分,每小题11分)1.计算极限329lim223xxxx解:329lim223xxxx=)3)(1()3)(3(lim3xxxxx=13lim3xxx=1333=232.设xxy1sinln,求yd解:xxxxxxy1cos11)1(1cos12yd=dxxxxdxy)1cos11(23.计算不定积分xxxd1cos2解:xxxd1cos2=cxxdx1sin)1(1cos4.计算定积分exdxx1ln解:exdxx1ln=)1(41412121ln212122112exexdxxxeee5.计算极限9152lim223xxxx解:9152lim223xxxx3435lim)3)(3()5)(3(lim33xxxxxxxx6.设xxxy3cos,求yd解:xxy3cos23,xxy3sin32321,dxxxdy)3sin323(7.计算不定积分xxd1210)(解:cxxdxdxx111010)12(221)12()12(21)12(8.计算定积分xxexd10解:1)1(101010eedxexedxxexxx四、应用题(本题16分)1.欲做一个底为正方形,容积为32立方米的长方体开口容器,怎样做法用料最省?解:设底边的边长为x,高为h,用材料为y,由已知322hx,得232xh,则xxxxxxhxy12832442222令012822xxy,解得x=4是唯一驻点,易知x=4是函数的极小值点,此时有2432h=2,所以当x=4,h=2时用料最省。2.用钢板焊接一个容积为43m的底为正方形的无盖水箱,已知钢板每平方米10元,焊接费40元,问水箱的尺寸如何选择,可使总费最低?最低总费是多少?(期末复习指导P.37四应用题第3题)解:设水箱的底边长为x,高为h,表面积为S,由题意42hx,则24xh,所以xxxhxxS164)(22,2162)(xxxS,令0)(xS,得x=2,因为本题存在最小值,且函数的驻点唯一,所以,当x=2,h=1时水箱的面积最小,S(2)=12.此时的费用为:S(2)×10+40=160(元).

1、当您付费下载文档后,您只拥有了使用权限,并不意味着购买了版权,文档只能用于自身使用,不得用于其他商业用途(如 [转卖]进行直接盈利或[编辑后售卖]进行间接盈利)。
2、本站所有内容均由合作方或网友上传,本站不对文档的完整性、权威性及其观点立场正确性做任何保证或承诺!文档内容仅供研究参考,付费前请自行鉴别。
3、如文档内容存在违规,或者侵犯商业秘密、侵犯著作权等,请点击“违规举报”。

碎片内容

电大微积分初步_2014年1月试题及答案剖析

爱的疯狂+ 关注
实名认证
内容提供者

该用户很懒,什么也没介绍

确认删除?
VIP
微信客服
  • 扫码咨询
会员Q群
  • 会员专属群点击这里加入QQ群
客服邮箱
回到顶部