电脑桌面
添加小米粒文库到电脑桌面
安装后可以在桌面快捷访问

空间向量综合测试含答案VIP免费

空间向量综合测试含答案_第1页
1/11
空间向量综合测试含答案_第2页
2/11
空间向量综合测试含答案_第3页
3/11
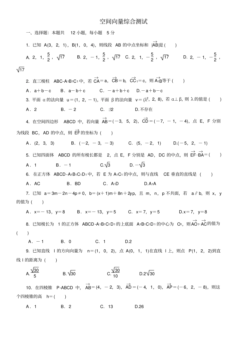
空间向量综合测试一、选择题:本题共12小题,每小题5分1.已知A(3,2,1),B(1,0,4),则线段AB的中点坐标和|AB→|是()A.2,1,52,17B.2,-1,52,17C.2,1,-52,17D.2,-1,-52,172.直三棱柱ABC-A1B1C1中,若CA→=a,CB→=b,CC1→=c,则A1B→等于()A.a+b-cB.a-b+cC.-a+b+cD.-a+b-c3.平面α的法向量u=(1,2,-1),平面β的法向量v=(λ2,2,8),若α⊥β,则λ的值是()A.2B.-2C.±2D.不存在4.在空间四边形ABCD中,若向量AB→=(-3,5,2),CD→=(-7,-1,-4),点E,F分别为线段BC,AD的中点,则EF→的坐标为()A.(2,3,3)B.(-2,-3,-3)C.(5,-2,1)D.(-5,2,-1)5.已知四面体ABCD的所有棱长都是2,点E,F分别是AD,DC的中点,则EF→·BA→=()A.1B.-1C.3D.-36.在正方体ABCD-A1B1C1D1中,若E为A1C1的中点,则与直线CE垂直的直线是()A.ACB.BDC.A1DD.A1A7.已知a=3m-2n-4p≠0,b=(x+1)m+8n+2yp,且m,n,p不共面,若a∥b,则x,y的值为()A.x=-13,y=8B.x=-13,y=5C.x=7,y=5D.x=7,y=88.已知棱长为1的正方体ABCD-A1B1C1D1的上底面A1B1C1D1的中心为O1,则AO1→·AC→的值为()A.-1B.0C.1D.29.已知直线l的方向向量为n=(1,0,2),点A(0,1,1)在直线l上,则点P(1,2,2)到直线l的距离为()A.305B.30C.3010D.23010.在四棱锥P-ABCD中,AB→=(4,-2,3),AD→=(-4,1,0),AP→=(-6,2,-8),则这个四棱锥的高h=()A.1B.2C.13D.2611.如图,将边长为1的正方形ABCD沿对角线BD折成直二面角,若点P满足BP→=12BA→-12BC→+BD→,则|BP→|2的值为()A.32B.3C.74D.9412.三棱柱ABC-A1B1C1的侧棱与底面垂直,AA1=AB=AC=1,AB⊥AC,N是BC的中点,点P在A1B1上,且满足:A1P→=λA1B1→,则直线PN与平面ABC所成角θ取最大值时λ的值为()A.12B.22C.32D.255一、选择题:本题共12小题,每小题5分题号123456789101112答案二、填空题:本题共4小题,每小题5分.13.已知正方体ABCD-A1B1C1D1的棱长为a,则A1B→·B1C→=________.14.在空间直角坐标系Oxyz中,已知A(1,-2,0),B(2,1,6),则向量AB→与平面xOz的法向量的夹角的正弦值为________.15.点P是底边长为23,高为2的正三棱柱表面上的动点,MN是该棱柱内切球的一条直径,则PM→·PN→的取值范围是__________.16.如图所示,在直三棱柱ABC-A1B1C1中,底面是以∠ABC为直角的等腰三角形,AC=2a,BB1=3a,D是A1C1的中点,点E在棱AA1上,要使CE⊥平面B1DE,则AE=________.三、解答题:解答应写出文字说明、证明过程或演算步骤.17.(10分)如图所示,在四棱锥M-ABCD中,底面ABCD是边长为2的正方形,侧棱AM的长为3,且AM和AB,AD的夹角都是60°,N是CM的中点,设a=AB→,b=AD→,c=AM→,试以a,b,c为基向量表示出向量BN→,并求BN的长.18.(12分)四边形ABCD为矩形,PA⊥平面ABCD,PA=AD,M、N分别是PC、AB的中点,求证:MN⊥平面PCD.19.(12分)如图所示,平行四边形ABCD中,∠DAB=60°,AB=2,AD=4,将△CBD沿BD折起到△EBD的位置,使平面EBD⊥平面ABD.(1)求证:AB⊥DE;(2)若点F为BE的中点,求直线AF与平面ADE所成角的正弦值.20.(12分)如图,在四棱锥P-ABCD中,底面ABCD是平行四边形,PG⊥平面ABCD,垂足为G,G在AD上,且PG=4,AG=13GD,BG⊥GC,GB=GC=2,E是BC的中点.(1)求异面直线GE与PC所成角的余弦值;(2)若F是棱PC上一点,且DF⊥GC,求PFFC的值.21.(12分)在△A′BC中,A′B=4,A′C=42,∠BA′C=45°,以A′C的中线BD为折痕,将△A′BD沿BD折起,构成二面角A-BD-C,在平面BCD内作CE⊥CD,且CE=2,连接DE,AE,AC,如图所示.(1)求证:CE∥平面ABD;(2)若二面角A-BD-C的大小为90°,求二面角B-AC-E的余弦值.22.(12分)如图,四边形PDCE为矩形,四边形ABCD为梯形,平面PDCE⊥平面ABCD,∠BAD=∠ADC=90°,AB=AD=12CD=1,PD=2.(1)若M为PA的中点,求证:AC∥平面MDE;(2)求直线PA与平面PBC所成角的正弦值;(3)在线段PC上是否存在一点Q(除去端点),使得平面QAD与平面PBC所成的锐二面角的大小为π3?空间...

1、当您付费下载文档后,您只拥有了使用权限,并不意味着购买了版权,文档只能用于自身使用,不得用于其他商业用途(如 [转卖]进行直接盈利或[编辑后售卖]进行间接盈利)。
2、本站所有内容均由合作方或网友上传,本站不对文档的完整性、权威性及其观点立场正确性做任何保证或承诺!文档内容仅供研究参考,付费前请自行鉴别。
3、如文档内容存在违规,或者侵犯商业秘密、侵犯著作权等,请点击“违规举报”。

碎片内容

空间向量综合测试含答案

确认删除?
VIP
微信客服
  • 扫码咨询
会员Q群
  • 会员专属群点击这里加入QQ群
客服邮箱
回到顶部