电脑桌面
添加小米粒文库到电脑桌面
安装后可以在桌面快捷访问

高考数学 三角函数与函数综合问题新题赏析课后练习一 理VIP免费

高考数学 三角函数与函数综合问题新题赏析课后练习一 理_第1页
1/3
高考数学 三角函数与函数综合问题新题赏析课后练习一 理_第2页
2/3
高考数学 三角函数与函数综合问题新题赏析课后练习一 理_第3页
3/3
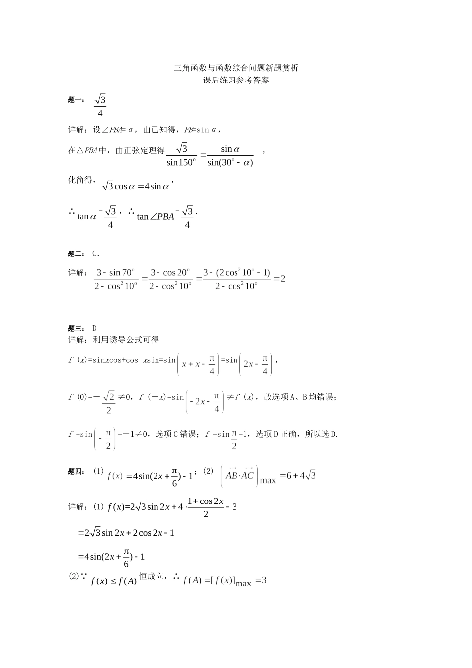
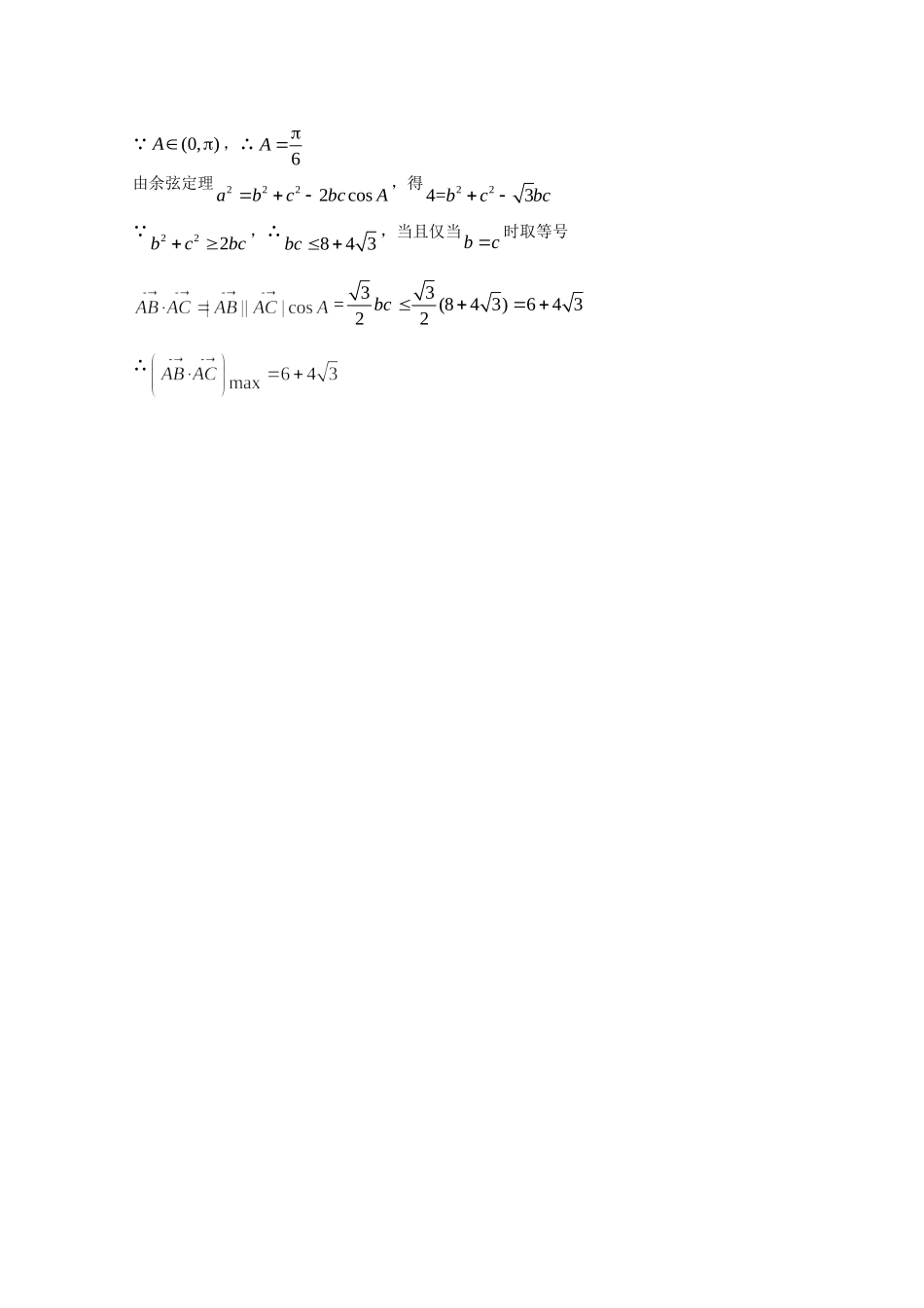
三角函数与函数综合问题新题赏析课后练习(一)题一:如图,在△ABC中,∠ABC=90°,AB=,BC=1,P为△ABC内一点,∠BPC=90°若∠APB=150°,则tan∠PBA=___________题二:()A.12B.22C.2D.32题三:函数f(x)=sinxcos+sinsin的图象()(A)关于原点对称(B)关于y轴对称(C)关于点对称(D)关于直线x=对称题四:已知函数2()23sin24cos3fxxx(1)将函数化为()sin(2)fxMxh的形式(其中0,02M);(2)在ABC中,a、b、c分别为内角ABC、、所对的边,且对()fx定义域中任意的x都有()()fxfA,若2a,求的最大值.三角函数与函数综合问题新题赏析课后练习参考答案题一:34详解:设∠PBA=α,由已知得,PB=sinα,在△PBA中,由正弦定理得oo3sinsin150sin(30),化简得,3cos4sin,∴tan=34,∴tanPBA=34.题二:C.详解:题三:D详解:利用诱导公式可得f(x)=sinxcos+cosxsin=sin=sin,f(0)=-≠0,f(-x)=sin≠f(x),故选项A、B均错误;f=sin=-1≠0,选项C错误;f=sin=1,选项D正确,所以选D.题四:(1)4sin(2)16x;(2)详解:(1)1cos2()=23sin2432xfxx23sin22cos21xx4sin(2)16x(2)∵()()fxfA恒成立,∴∵(0,)A,∴6A由余弦定理2222cosabcbcA,得224=3bcbc∵222bcbc,∴843bc,当且仅当bc时取等号3=2bc3(843)6432∴

1、当您付费下载文档后,您只拥有了使用权限,并不意味着购买了版权,文档只能用于自身使用,不得用于其他商业用途(如 [转卖]进行直接盈利或[编辑后售卖]进行间接盈利)。
2、本站所有内容均由合作方或网友上传,本站不对文档的完整性、权威性及其观点立场正确性做任何保证或承诺!文档内容仅供研究参考,付费前请自行鉴别。
3、如文档内容存在违规,或者侵犯商业秘密、侵犯著作权等,请点击“违规举报”。

碎片内容

高考数学 三角函数与函数综合问题新题赏析课后练习一 理

您可能关注的文档

确认删除?
VIP
微信客服
  • 扫码咨询
会员Q群
  • 会员专属群点击这里加入QQ群
客服邮箱
回到顶部