电脑桌面
添加小米粒文库到电脑桌面
安装后可以在桌面快捷访问

高考数学二轮复习 解答题双规范案例之——三角函数与解三角形问题-人教版高三全册数学试题VIP免费

高考数学二轮复习 解答题双规范案例之——三角函数与解三角形问题-人教版高三全册数学试题_第1页
1/3
高考数学二轮复习 解答题双规范案例之——三角函数与解三角形问题-人教版高三全册数学试题_第2页
2/3
高考数学二轮复习 解答题双规范案例之——三角函数与解三角形问题-人教版高三全册数学试题_第3页
3/3
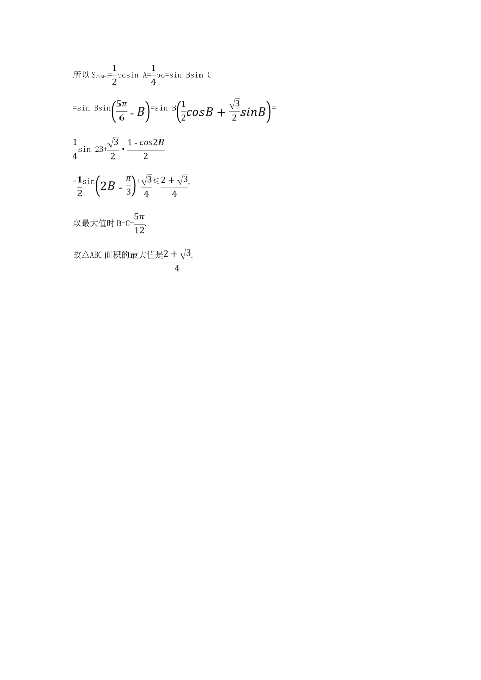
三角函数与解三角形问题感悟体验·快易通1.已知△ABC的三个内角A,B,C的对边分别为a,b,c,且bsinA-acosB-2a=0.(1)求角B的大小.(2)若b=,△ABC的面积为,求a,c的值.【解析】(1)因为bsinA-acosB-2a=0,所以由正弦定理得sinBsinA-sinAcosB-2sinA=0,又A∈(0,π),sinA≠0,所以sinB-cosB=2,sin=1,所以B=.(2)因为所以即所以或2.已知f(x)=(sinx+cosx)2-cos2-.(1)求f(x)的单调区间.(2)在锐角△ABC中,角A,B,C的对边分别为a,b,c,若f=0,且a=1,求△ABC面积的最大值.【解析】(1)由已知可得f(x)=sinxcosx-cos2=sin2x-=sin2x-,由-+2kπ≤2x≤+2kπ(k∈Z)得-+kπ≤x≤+kπ(k∈Z),由+2kπ≤2x≤+2kπ(k∈Z),得+kπ≤x≤+kπ(k∈Z).所以函数f(x)的单调递增区间是(k∈Z),单调递减区间是(k∈Z).(2)由f=0,得sinA=,又A为锐角,所以A=,由正弦定理知===2,故b=2sinB,c=2sinC,所以S△ABC=bcsinA=bc=sinBsinC=sinBsin=sinB=sin2B+·=sin+≤,取最大值时B=C=.故△ABC面积的最大值是.

1、当您付费下载文档后,您只拥有了使用权限,并不意味着购买了版权,文档只能用于自身使用,不得用于其他商业用途(如 [转卖]进行直接盈利或[编辑后售卖]进行间接盈利)。
2、本站所有内容均由合作方或网友上传,本站不对文档的完整性、权威性及其观点立场正确性做任何保证或承诺!文档内容仅供研究参考,付费前请自行鉴别。
3、如文档内容存在违规,或者侵犯商业秘密、侵犯著作权等,请点击“违规举报”。

碎片内容

高考数学二轮复习 解答题双规范案例之——三角函数与解三角形问题-人教版高三全册数学试题

远洋启航书店+ 关注
实名认证
内容提供者

从事历史教学,热爱教育,高度负责。

相关文档

确认删除?
VIP
微信客服
  • 扫码咨询
会员Q群
  • 会员专属群点击这里加入QQ群
客服邮箱
回到顶部