电脑桌面
添加小米粒文库到电脑桌面
安装后可以在桌面快捷访问

高中数学解题方法谈 三次函数与导数VIP免费

高中数学解题方法谈 三次函数与导数_第1页
1/3
高中数学解题方法谈 三次函数与导数_第2页
2/3
高中数学解题方法谈 三次函数与导数_第3页
3/3
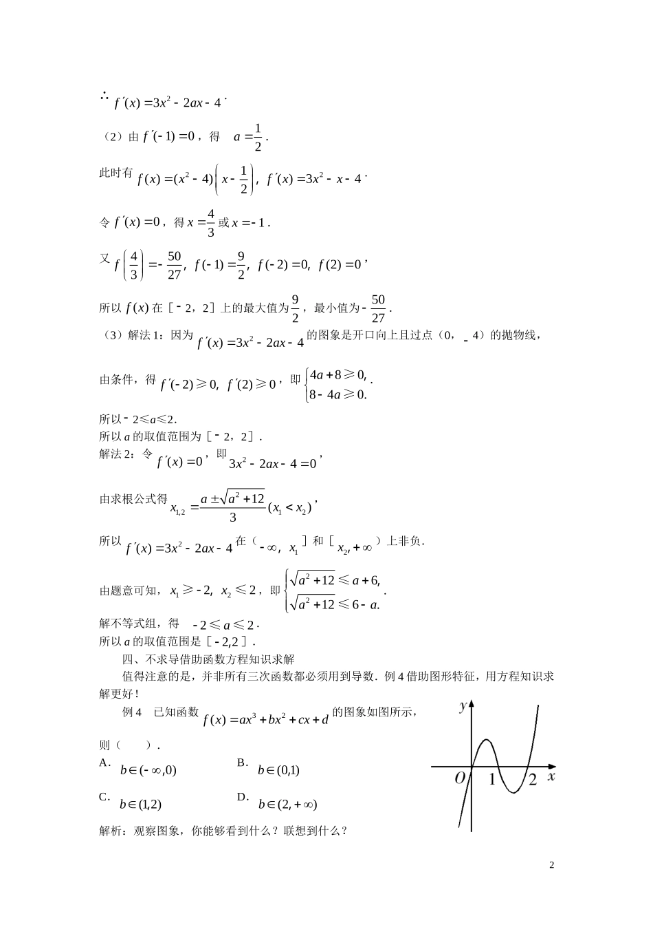
三次函数与导数高中教材增加导数及应用这一新内容后,高考试题中自然形成了新的知识热点,围绕三次函数这一知识点来命题.主要有以下几类.一、与三次函数图象上某点的切线相关的数学问题例1曲线3231yxx在点(1,-1)处的切线方程为().A.34yxB.32yxC.43yxD.45yx分析:先求此处的导数值,即切线的斜率,再由点斜式得出直线的方程.答案选B..二、与三次函数有关的单调性问题例2若函数3211()(1)132fxxaxax在区间(1,4)内为减函数,在区间(6,+∞)上为增函数,试求实数a的取值范围.分析:本小题主要考查导数的概念、应用导数研究函数单调性的基本方法及综合运用数学知识解题的能力.解:函数()fx的导数2()1fxxaxa.令()0fx,解得x=1或1xa.当11a≤,即a≤2时,函数()fx在(1,+∞)上是增函数,不合题意.当11a,即a>2时,函数()fx在(∞,1)上为增函数,在(1,a1)内为减函数,在(a1,+∞)为增函数.依题意应有当(14)()0xfx,,;当(6)()0xfx,,则416a≤≤.解得5≤a≤7.所以a的取值范围是[5,7].三、与三次函数有关的极值、最值问题例3已知a为实数,2()(4)()fxxxa.(1)求导数()fx;(2)若(1)0f,求()fx在[2,2]上的最大值和最小值;(3)若()fx在(∞,2]和[2,+∞)上都是递增的,求a的取值范围.解:(1)由原式,得32()44fxxaxxa,1∴2()324fxxax.(2)由(1)0f,得12a.此时有221()(4)()342fxxxfxxx,.令()0fx,得43x或1x.又4509(1)(2)0(2)03272ffff,,,,所以()fx在[2,2]上的最大值为92,最小值为5027.(3)解法1:因为2()324fxxax的图象是开口向上且过点(0,4)的抛物线,由条件,得(2)0(2)0ff,≥≥,即480840.aa,≥≥.所以2≤a≤2.所以a的取值范围为[2,2].解法2:令()0fx,即23240xax,由求根公式得2121212()3aaxxx,,所以2()324fxxax在(1x,]和[2x,)上非负.由题意可知,1222xx,≥≤,即22126126.aaaa,≤≤.解不等式组,得22a≤≤.所以a的取值范围是[22,].四、不求导借助函数方程知识求解值得注意的是,并非所有三次函数都必须用到导数.例4借助图形特征,用方程知识求解更好!例4已知函数32()fxaxbxcxd的图象如图所示,则().A.(0)b,B.(01)b,C.(12)b,D.(2)b,解析:观察图象,你能够看到什么?联想到什么?2①图象过原点,由(0)0f,可求得3220()()dfxaxbxcxxaxbxc,;②图象通过(1,0)、(2,0)两点,显然有08420abcabc,,,即620ab,∴3ba;③a是什么数?是正还是负?联想当x时,()fx→+∞,所以有a>0.∴0(0)bb,,,故选A.3

1、当您付费下载文档后,您只拥有了使用权限,并不意味着购买了版权,文档只能用于自身使用,不得用于其他商业用途(如 [转卖]进行直接盈利或[编辑后售卖]进行间接盈利)。
2、本站所有内容均由合作方或网友上传,本站不对文档的完整性、权威性及其观点立场正确性做任何保证或承诺!文档内容仅供研究参考,付费前请自行鉴别。
3、如文档内容存在违规,或者侵犯商业秘密、侵犯著作权等,请点击“违规举报”。

碎片内容

高中数学解题方法谈 三次函数与导数

远洋启航书店+ 关注
实名认证
内容提供者

从事历史教学,热爱教育,高度负责。

确认删除?
VIP
微信客服
  • 扫码咨询
会员Q群
  • 会员专属群点击这里加入QQ群
客服邮箱
回到顶部