电脑桌面
添加小米粒文库到电脑桌面
安装后可以在桌面快捷访问

高考数学一轮复习必备 第34课时 第四章 三角函数-三角函数的性质(二)VIP免费

高考数学一轮复习必备 第34课时 第四章 三角函数-三角函数的性质(二)_第1页
1/4
高考数学一轮复习必备 第34课时 第四章 三角函数-三角函数的性质(二)_第2页
2/4
高考数学一轮复习必备 第34课时 第四章 三角函数-三角函数的性质(二)_第3页
3/4
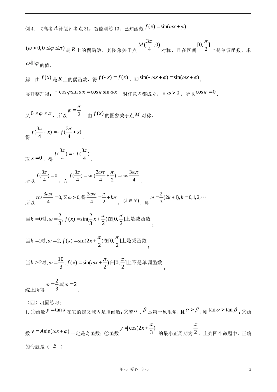
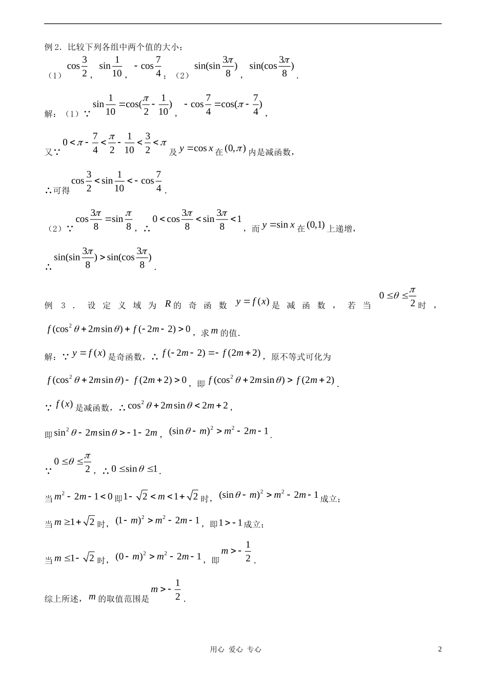
第34课时:第四章三角函数——三角函数的性质(二)一.课题:三角函数的性质(二)二.教学目标:掌握三角函数的奇偶性与单调性,并能应用解决一些问题.三.教学重点:三角函数奇偶性的判断及三角函数单调区间的求解及其应用.四.教学过程:(一)主要知识:三角函数的奇偶性和单调性具体如下表:函数奇偶性单调区间sinyx奇在[2,2]22kk上增在3[2,2]22kk减()kZcosyx偶在[2,2]kk上增在[2,2]kk减()kZtanyx奇在(,)22kk上增()kZ(二)主要方法:1.三角函数的奇偶性的判别主要依据定义:首先判定函数的定义域是否关于原点对称,当函数的定义域关于原点对称时,再运用奇偶性定义判别;2.函数sin()yAx(0,0)A的单调区间的确定,基本思路是把x看作一个整体,运用复合函数的单调规律得解;3.比较三角函数值的大小,利用奇偶性或周期性转化为属于同一单调区间上的同名函数值,再利用单调性比较大小.(三)例题分析:例1.判断下列函数的奇偶性:(1)()|sin2|tanfxxxx;(2)cos(1sin)()1sinxxfxx.解:(1)∵()fx的定义域为{|,}2xxkkZ,∴定义域关于原点对称,又∵()|sin(2)|()tan()|sin2|tan()fxxxxxxxfx,∴()fx为偶函数.(2)∵()fx的定义域为{|2,}2xxkkZ不关于原点对称,∴()fx为非奇非偶函数.用心爱心专心1例2.比较下列各组中两个值的大小:(1)3cos2,1sin10,7cos4;(2)3sin(sin)8,3sin(cos)8.解:(1)∵11sincos()10210,77coscos()44,又∵713042102及cosyx在(0,)内是减函数,∴可得317cossincos2104.(2)∵3cossin88,∴330cossin188,而sinyx在(0,1)上递增,∴33sin(sin)sin(cos)88.例3.设定义域为R的奇函数()yfx是减函数,若当02时,2(cos2sin)(22)0fmfm,求m的值.解:∵()yfx是奇函数,∴(22)(22)fmfm,原不等式可化为2(cos2sin)(22)0fmfm,即2(cos2sin)(22)fmfm.∵()fx是减函数,∴2cos2sin22mm,即2sin2sin12mm,22(sin)21mmm.∵02,∴0sin1.当2210mm即1212m时,22(sin)21mmm成立;当12m时,22(1)21mmm,即11成立;当12m时,22(0)21mmm,即12m.综上所述,m的取值范围是12m.用心爱心专心2例4.《高考A计划》考点31,智能训练13:已知函数()sin()fxx(0,0)是R上的偶函数,其图象关于点3(,0)4M对称,且在区间[0,]2上是单调函数,求和的值.解:由()fx是R上的偶函数,得()()fxfx,即sin()sin()xx,展开整理得:cossincossinxx,对任意x都成立,且0,所以cos0.又0,所以2.由()fx的图象关于点M对称,得33()()44fxfx.取0x,得33()()44ff,所以3()04f,∴333()sin()cos4424f.所以33cos0,0,442k又得,()kN.即2(21),0,1,2,3kk220,,()sin()[0,]3322kfxx当时在上是减函数;1,2,()sin(2)[0,]22kfxx当时在上是减函数;102,,()sin()[0,]322kfxx当时在上不是单调函数;综上所得223或.(四)巩固练习:1.①函数tanyx在它的定义域内是增函数;②若、是第一象限角,且,则tantan;③函数sin()yAx一定是奇函数;④函数|cos(2)|3yx的最小正周期为2.上列四个命题中,正确的命题是(B)用心爱心专心3()A①()B④()C①、②()D②、③2.若04,sincosa,sincosb,则(A)()Aab()Bab()C1ab()D2ab3.函数3sin(2)3yx的单调递减区间是5[,]1212kkkZ.五.课后作业:《高考A计划》考点31,智能训练7,8,9,11,12,14,15.用心爱心专心4

1、当您付费下载文档后,您只拥有了使用权限,并不意味着购买了版权,文档只能用于自身使用,不得用于其他商业用途(如 [转卖]进行直接盈利或[编辑后售卖]进行间接盈利)。
2、本站所有内容均由合作方或网友上传,本站不对文档的完整性、权威性及其观点立场正确性做任何保证或承诺!文档内容仅供研究参考,付费前请自行鉴别。
3、如文档内容存在违规,或者侵犯商业秘密、侵犯著作权等,请点击“违规举报”。

碎片内容

高考数学一轮复习必备 第34课时 第四章 三角函数-三角函数的性质(二)

海博书城+ 关注
实名认证
内容提供者

从事历史教学,热爱教育,高度负责。

确认删除?
VIP
微信客服
  • 扫码咨询
会员Q群
  • 会员专属群点击这里加入QQ群
客服邮箱
回到顶部