电脑桌面
添加小米粒文库到电脑桌面
安装后可以在桌面快捷访问

河北省定州市高三数学下学期周练试题(复习班,4.9)-人教版高三全册数学试题VIP免费

河北省定州市高三数学下学期周练试题(复习班,4.9)-人教版高三全册数学试题_第1页
1/19
河北省定州市高三数学下学期周练试题(复习班,4.9)-人教版高三全册数学试题_第2页
2/19
河北省定州市高三数学下学期周练试题(复习班,4.9)-人教版高三全册数学试题_第3页
3/19
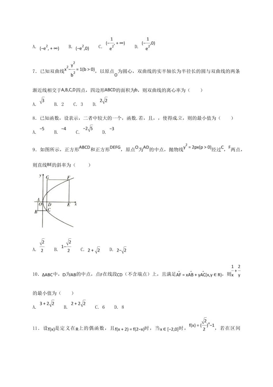
河北省定州市2017届高三数学下学期周练试题(复习班,4.9)一、选择题1.点是椭圆上一点,是椭圆的两个焦点,且的内切圆半径为1,当在第一象限时,点的纵坐标为()A.B.3C.2D.2.已知对任意实数,有,,且时,导函数分别满足,,则时,成立的是()A.B.C.D.3.已知函数,则方程的根的个数为()A.5B.4C.3D.24.设定义在区间上的函数是奇函数,且.若表示不超过的最大整数,是函数的零点,则()A.B.或C.D.5.已知实数满足约束条件,则的取值范围是()A.B.C.D.6.已知函数,曲线上存在两个不同点,使得曲线在这两点处的切线都与轴垂直,则实数的取值范围是()A.B.C.D.7.已知双曲线,以原点为圆心,双曲线的实半轴长为半径长的圆与双曲线的两条渐近线相交于四点,四边形的面积为,则双曲线的离心率为()A.B.2C.3D.8.已知函数,设表示,二者中较大的一个,函数.若,且,,使得成立,则的最小值为()A.B.C.D.9.如图所示,正方形和正方形,原点为的中点,抛物线经过,两点,则直线的斜率为()A.B.C.D.10.中,为的中点,点在线段(不含端点)上,且满足,则的最小值为()A.B.C.6D.811.设是定义在上的偶函数,且时,当时,,若在区间内关于的方程(且)有且只有4个不同的根,则实数的范围是()A.B.C.D.12.已知函数,其中为自然对数的底数.若函数与有相同的值域,则实数的最大值为()A.B.C.D.二、填空题13.由约束条件,确定的可行域能被半径为的圆面完全覆盖,则实数的取值范围是__________.14.将函数的图象向左平移个单位长度,再向上平移1个单位长度,得到函数的图象,则函数具有性质__________.(填入所有正确性质的序号)①最大值为,图象关于直线对称;②图象关于轴对称;③最小正周期为;④图象关于点对称;⑤在上单调递减15.设,在上恒成立,则的最大值为__________.16.当时,关于的不等式的解集中有且只有两个整数值,则实数的取值范围是__________.三、解答题17.已知函数.(1)求函数的解析式和单调区间;(2)设,若对任意,不等式恒成立,求实数的取值范围.18.设非零向量,规定:(其中),是椭圆的左、右焦点,点分别是椭圆的右顶点、上顶点,若,椭圆的长轴的长为.(1)求椭圆的方程;(2)过点的直线交椭圆于点,若,求直线的方程.19.如图,椭圆:左、右顶点为、,左、右焦点为、,,.直线()交椭圆于点两点,与线段、椭圆短轴分别交于两点(不重合),且.(1)求椭圆的方程;(2)设直线,的斜率分别为,求的取值范围.参考答案1.A【解析】设内切圆的圆心为,点的纵坐标为,有。故选A。2.B【解析】在上为奇函数在上为增函数在为增函数即同理可得时,。故选B。3.C【解析】令得;又,令可得,且在处取极大值,在处取极小值;由于方程的判别式,即方程有两个不等的实数根,且两个根,,故结合图形可知原方程由三个实数根,应选答案C。点睛:本题旨在考查函数的图像与性质及有关知识的综合运用。求解时,先确定函数的零点,再运用导数知识确定函数的单调性与极值取得的位置和大小,最后再研究以函数解析式为变量的方程方程的的个数问题。解答本题的关键是要搞清楚方程的两个根的大小与位置,从而经过数形结合确定方程解的个数,从而使得问题获解。4.C【解析】由奇函数的定义可得,即,也即;当时,,则,与题设不符,所以,由,所以。由于,所以若时,,则函数的零点;则由题设中的新定义的概念可得。若时,,则函数无零点,则由题设中的新定义的概念可得,应选答案C。点睛:本题旨在考查函数与方程思想、等价转化与化归的数学思想、数形结合的数学思想,求解时先运用奇函数的定义求出函数的解析式中的参数的值,再求函数的定义域为,然后依据函数与方程的关系,借助函数零点的判定方法分析推断,最终使得问题获解。5.A【解析】画出不等式组表示的区域如图,结合图形可知当动直线与圆相切于点时,即,在轴上的截距最大值,其最大值为;当动直线经过点时,在轴上的截距最小值,其最小值为,故的取值范围是,应选答案A。点睛:本题以线性规划的有关知识为平台,创设了运用线性规划知识及数形结合思想的综合运用的问题情境,旨在考查线性规划、直线与...

1、当您付费下载文档后,您只拥有了使用权限,并不意味着购买了版权,文档只能用于自身使用,不得用于其他商业用途(如 [转卖]进行直接盈利或[编辑后售卖]进行间接盈利)。
2、本站所有内容均由合作方或网友上传,本站不对文档的完整性、权威性及其观点立场正确性做任何保证或承诺!文档内容仅供研究参考,付费前请自行鉴别。
3、如文档内容存在违规,或者侵犯商业秘密、侵犯著作权等,请点击“违规举报”。

碎片内容

河北省定州市高三数学下学期周练试题(复习班,4.9)-人教版高三全册数学试题

慧源书店+ 关注
实名认证
内容提供者

从事历史教学,热爱教育,高度负责。

相关文档

确认删除?
VIP
微信客服
  • 扫码咨询
会员Q群
  • 会员专属群点击这里加入QQ群
客服邮箱
回到顶部