电脑桌面
添加小米粒文库到电脑桌面
安装后可以在桌面快捷访问

通用版高考数学二轮复习特训2+1+2压轴满分练二理重点生,含解析VIP免费

通用版高考数学二轮复习特训2+1+2压轴满分练二理重点生,含解析_第1页
1/5
通用版高考数学二轮复习特训2+1+2压轴满分练二理重点生,含解析_第2页
2/5
通用版高考数学二轮复习特训2+1+2压轴满分练二理重点生,含解析_第3页
3/5
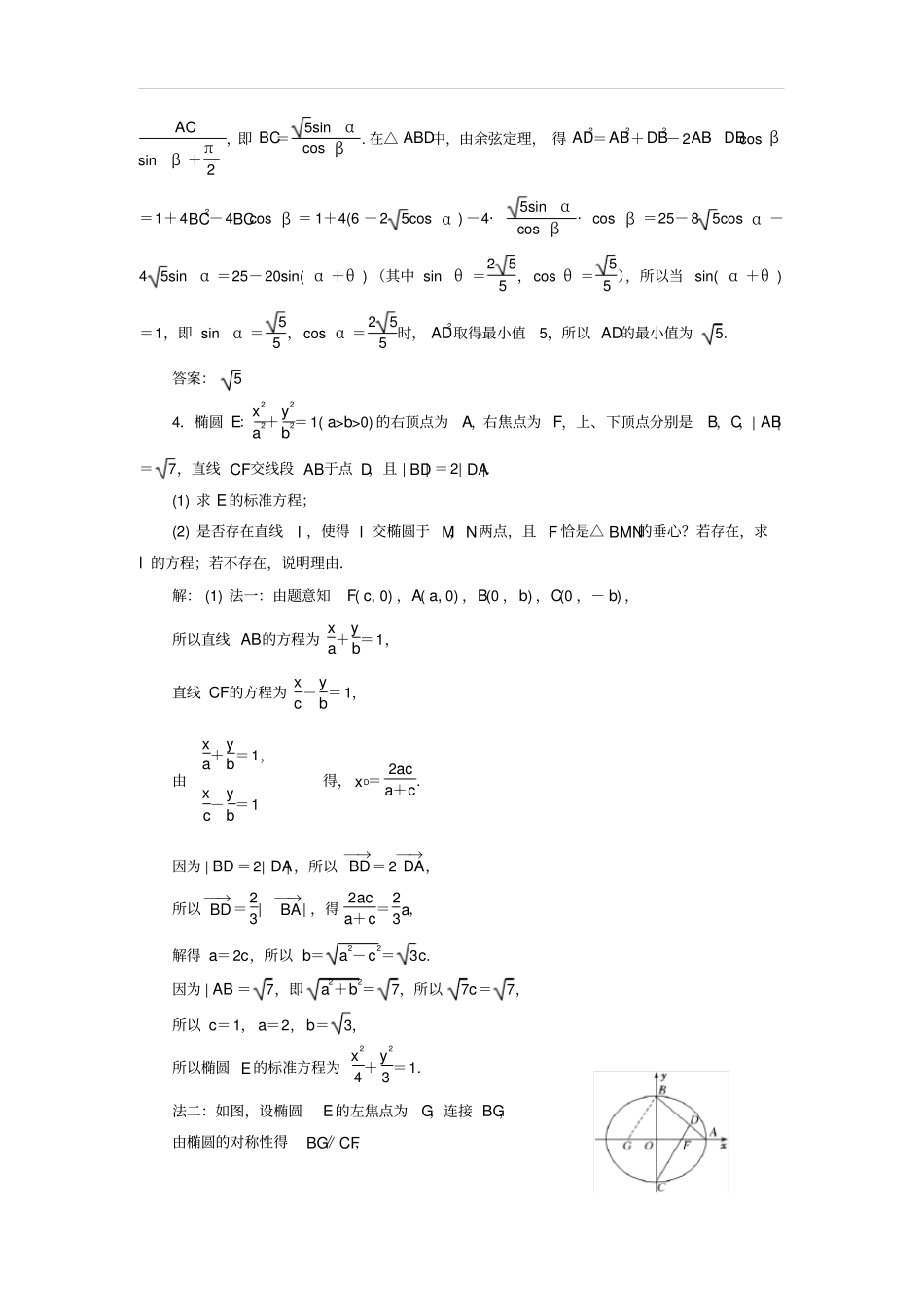
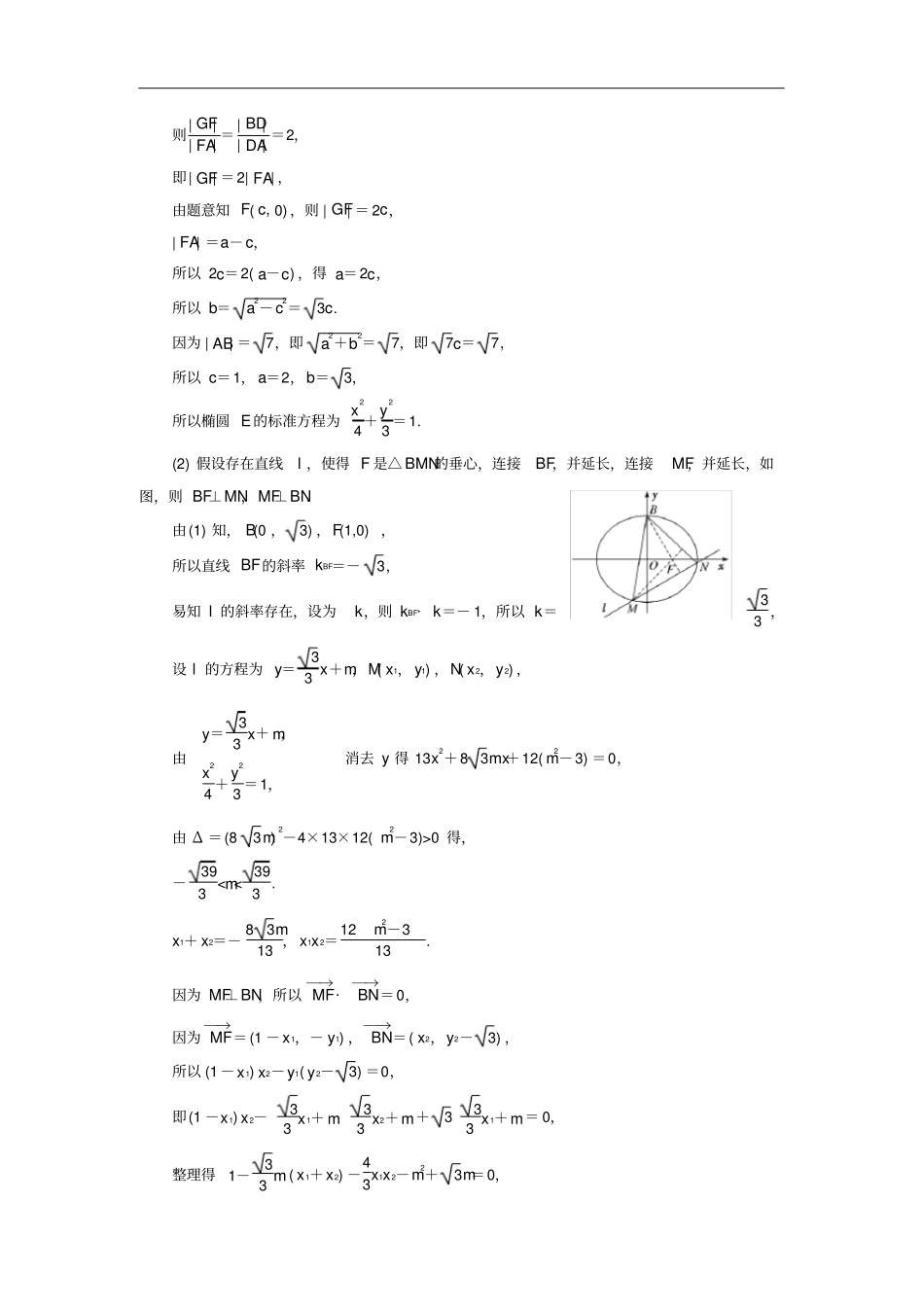
“2+1+2”压轴满分练(二)1.已知A,B,C,D四点均在以点O1为球心的球面上,且AB=AC=AD=25,BC=BD=42,CD=8.若球O2在球O1内且与平面BCD相切,则球O2直径的最大值为()A.1B.2C.4D.8解析:选D由题意,得BC2+BD2=CD2,所以BC⊥BD,所以△BCD为等腰直角三角形.如图,设CD的中点为O,则O为△BCD的外心,且外接圆半径r=4.连接AO,BO,因为AC=AD=25,所以AO⊥CD,AO=2,又BO=4,所以AO2+BO2=AB2,所以AO⊥BO,所以AO⊥平面BCD,所以球心O1在直线AO上.设球O1的半径为R,则有r2+OO21=R2,即16+(R-2)2=R2,解得R=5.当球O2直径最大时,球O2与平面BCD相切,且与球O1内切,此时A,O,O1,O2四点共线,所以球O2直径的最大值为R+OO1=8.2.已知函数f(x)=(x-a)3-3x+a(a>0)在[-1,b]上的值域为[-2-2a,0],则b的取值范围是()A.[0,3]B.[0,2]C.[2,3]D.(-1,3]解析:选A由题意,得f′(x)=3(x-a)2-3=3(x-a+1)(x-a-1).由f′(x)=0,得x=a+1或x=a-1,所以当a-1a+1时,f′(x)>0,所以函数f(x)在(a-1,a+1)上单调递减,在(-∞,a-1),(a+1,+∞)上单调递增.又f(a+1)=-2a-2,f(a-1)=-2a+2.若f(-1)=-2a-2,即(-1-a)3+3+a=-2a-2,则a=1,此时f(x)=(x-1)3-3x+1,且f(x)=-4时,x=-1或x=2;由f(x)=0,解得x=0或x=3.因为函数f(x)在[-1,b]上的值域为[-4,0],所以0≤b≤3.若f(-1)>-2a-2,因为a>0,所以a-1>-1,要使函数f(x)在[-1,b]上的值域为[-2-2a,0],需a+1≤b,此时a-1∈[-1,b],所以f-1>-2a-2,fa-1≤0,即-1-a3+3+a>-2a-2,-2a+2≤0,无解.综上所述,b的取值范围是[0,3].3.在平面四边形ABCD中,AB=1,AC=5,BD⊥BC,BD=2BC,则AD的最小值为________.解析:设∠BAC=α,∠ABD=β(β∈(0,π)),则∠ABC=β+π2.在△ABC中,由余弦定理,得BC2=AB2+AC2-2AB·ACcosα=6-25cosα,由正弦定理,得BCsinα=ACsinβ+π2,即BC=5sinαcosβ.在△ABD中,由余弦定理,得AD2=AB2+DB2-2AB·DBcosβ=1+4BC2-4BCcosβ=1+4(6-25cosα)-4·5sinαcosβ·cosβ=25-85cosα-45sinα=25-20sin(α+θ)(其中sinθ=255,cosθ=55),所以当sin(α+θ)=1,即sinα=55,cosα=255时,AD2取得最小值5,所以AD的最小值为5.答案:54.椭圆E:x2a2+y2b2=1(a>b>0)的右顶点为A,右焦点为F,上、下顶点分别是B,C,|AB|=7,直线CF交线段AB于点D,且|BD|=2|DA|.(1)求E的标准方程;(2)是否存在直线l,使得l交椭圆于M,N两点,且F恰是△BMN的垂心?若存在,求l的方程;若不存在,说明理由.解:(1)法一:由题意知F(c,0),A(a,0),B(0,b),C(0,-b),所以直线AB的方程为xa+yb=1,直线CF的方程为xc-yb=1,由xa+yb=1,xc-yb=1得,xD=2aca+c.因为|BD|=2|DA|,所以BD―→=2DA―→,所以BD―→=23|BA―→|,得2aca+c=23a,解得a=2c,所以b=a2-c2=3c.因为|AB|=7,即a2+b2=7,所以7c=7,所以c=1,a=2,b=3,所以椭圆E的标准方程为x24+y23=1.法二:如图,设椭圆E的左焦点为G,连接BG,由椭圆的对称性得BG∥CF,则|GF||FA|=|BD||DA|=2,即|GF|=2|FA|,由题意知F(c,0),则|GF|=2c,|FA|=a-c,所以2c=2(a-c),得a=2c,所以b=a2-c2=3c.因为|AB|=7,即a2+b2=7,即7c=7,所以c=1,a=2,b=3,所以椭圆E的标准方程为x24+y23=1.(2)假设存在直线l,使得F是△BMN的垂心,连接BF,并延长,连接MF,并延长,如图,则BF⊥MN,MF⊥BN.由(1)知,B(0,3),F(1,0),所以直线BF的斜率kBF=-3,33,易知l的斜率存在,设为k,则kBF·k=-1,所以k=设l的方程为y=33x+m,M(x1,y1),N(x2,y2),由y=33x+m,x24+y23=1,消去y得13x2+83mx+12(m2-3)=0,由Δ=(83m)2-4×13×12(m2-3)>0得,-393

1、当您付费下载文档后,您只拥有了使用权限,并不意味着购买了版权,文档只能用于自身使用,不得用于其他商业用途(如 [转卖]进行直接盈利或[编辑后售卖]进行间接盈利)。
2、本站所有内容均由合作方或网友上传,本站不对文档的完整性、权威性及其观点立场正确性做任何保证或承诺!文档内容仅供研究参考,付费前请自行鉴别。
3、如文档内容存在违规,或者侵犯商业秘密、侵犯著作权等,请点击“违规举报”。

碎片内容

通用版高考数学二轮复习特训2+1+2压轴满分练二理重点生,含解析

文库响当当+ 关注
实名认证
内容提供者

该用户很懒,什么也没介绍

相关文档

确认删除?
微信客服
  • 扫码咨询
会员Q群
  • 会员专属群点击这里加入QQ群