电脑桌面
添加小米粒文库到电脑桌面
安装后可以在桌面快捷访问

高中数学选修5中的著名不等式VIP免费

高中数学选修5中的著名不等式_第1页
1/4
高中数学选修5中的著名不等式_第2页
2/4
高中数学选修5中的著名不等式_第3页
3/4
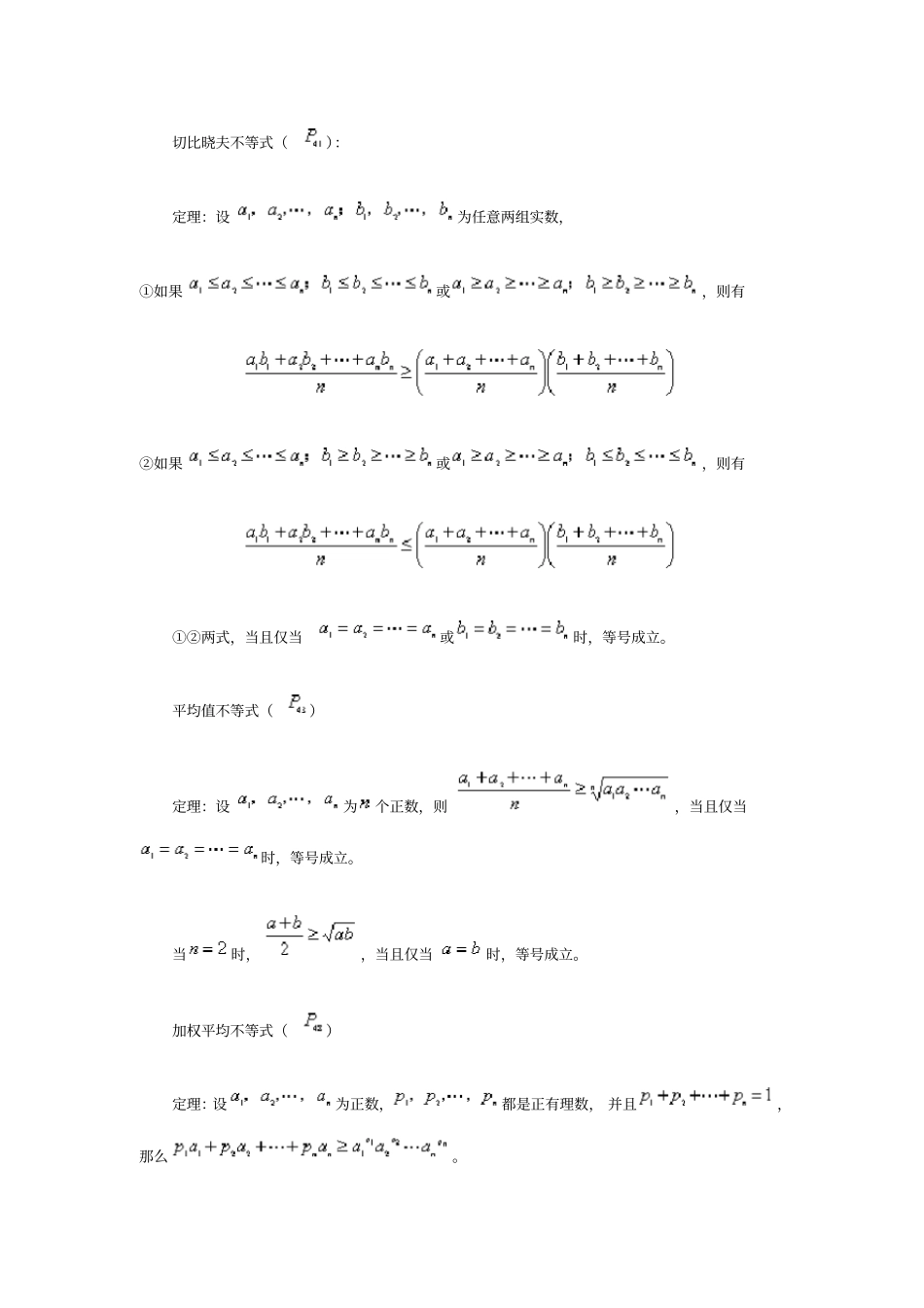
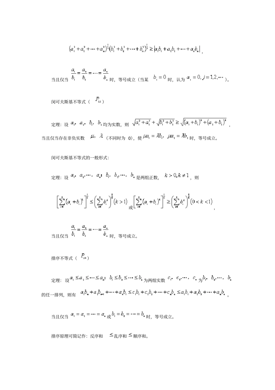
选修4-5中的著名不等式内蒙古赤峰市翁牛特旗乌丹一中熊明军新课程改革推出了知识模块,把高等数学中一些领域的知识进行了简化,下放到高中。选修4-5中给出了许多著名不等式的特例,下面对课本上的这些不等式及其一般形式做一下介绍。绝对值的三角不等式():定理:若为实数,则,当且仅当时,等号成立。绝对值的三角不等式一般形式:,简记为。柯西不等式()定理:(向量形式)设为平面上的两个向量,则。当及为非零向量时,等号成立及共线存在实数,使。当或为零向量时,规定零向量与任何向量平行,即当时,上式依然成立。定理:(代数形式)设均为实数,则,当且仅当时,等号成立。柯西不等式的一般形式()定理:设为实数,则,当且仅当时,等号成立(当某时,认为)。闵可夫斯基不等式()定理:设均为实数,则,当且仅当存在非负实数(不同时为0),使时,等号成立。闵可夫斯基不等式的一般形式:定理:设是两组正数,,则或,当且仅当时,等号成立。排序不等式()定理:设为两组实数为的任一排列,则有。当且仅当或时,等号成立。排序原理可简记作:反序和乱序和顺序和。切比晓夫不等式():定理:设为任意两组实数,①如果或,则有②如果或,则有①②两式,当且仅当或时,等号成立。平均值不等式()定理:设为个正数,则,当且仅当时,等号成立。当时,,当且仅当时,等号成立。加权平均不等式()定理:设为正数,都是正有理数,并且,那么。杨格不等式():定理:设为有理数,满足条件(互称为共轭指标),为正数,则。当时,,此时的杨格不等式就是熟知的基本不等式。贝努利不等式():定理:设,且,为大于1的自然数,则。贝努利不等式的一般形式:(1)设,且同号,则;(2)设,则①当时,有;②当或时,有,①②当且仅当时等号,成立。

1、当您付费下载文档后,您只拥有了使用权限,并不意味着购买了版权,文档只能用于自身使用,不得用于其他商业用途(如 [转卖]进行直接盈利或[编辑后售卖]进行间接盈利)。
2、本站所有内容均由合作方或网友上传,本站不对文档的完整性、权威性及其观点立场正确性做任何保证或承诺!文档内容仅供研究参考,付费前请自行鉴别。
3、如文档内容存在违规,或者侵犯商业秘密、侵犯著作权等,请点击“违规举报”。

碎片内容

高中数学选修5中的著名不等式

文库响当当+ 关注
实名认证
内容提供者

该用户很懒,什么也没介绍

确认删除?
VIP
微信客服
  • 扫码咨询
会员Q群
  • 会员专属群点击这里加入QQ群
客服邮箱
回到顶部