电脑桌面
添加小米粒文库到电脑桌面
安装后可以在桌面快捷访问

高数上复习练习题VIP免费

高数上复习练习题_第1页
1/9
高数上复习练习题_第2页
2/9
高数上复习练习题_第3页
3/9
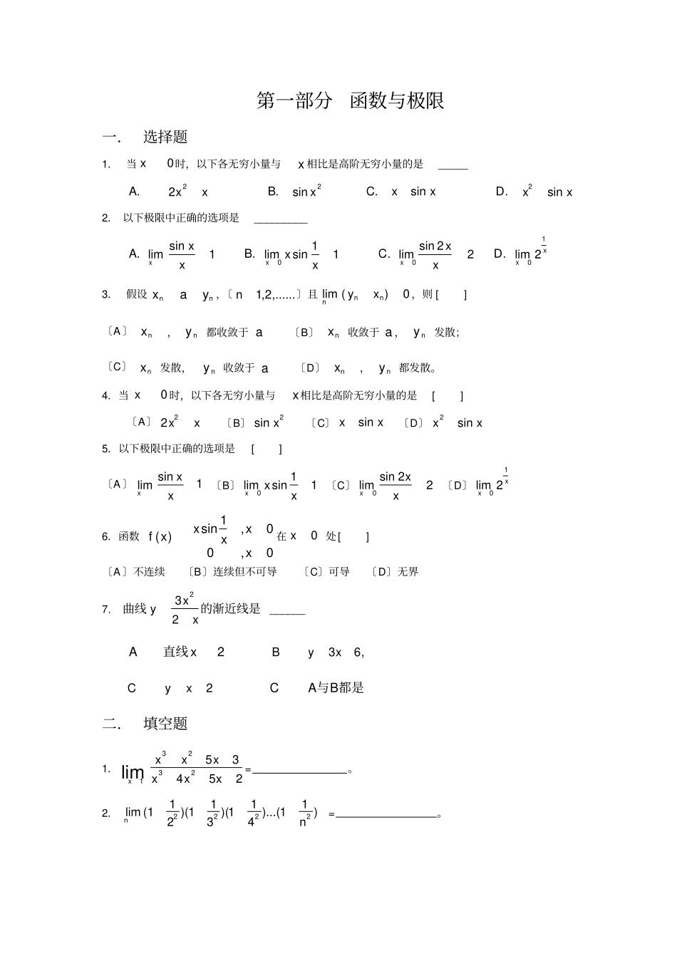
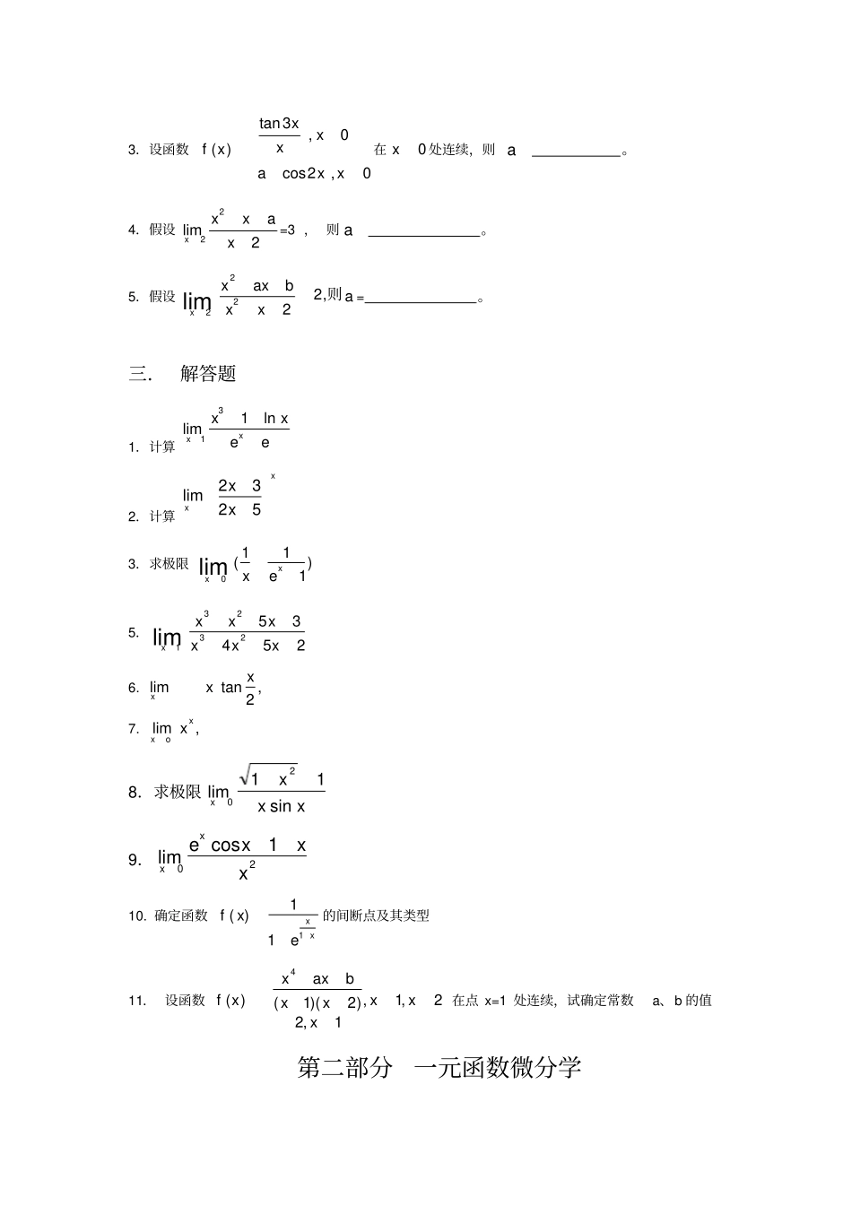
第一部分函数与极限一.选择题1.当0x时,以下各无穷小量与x相比是高阶无穷小量的是_____.A22xx.B2sinx.Csinxx.D2sinxx2.以下极限中正确的选项是_________.Asinlim1xxx.B01limsin1xxx.C0sin2lim2xxx.D10lim2xx3.假设nnyax,〔,......2,1n〕且0)(limnnnxy,则[]〔A〕nx,ny都收敛于a〔B〕nx收敛于a,ny发散;〔C〕nx发散,ny收敛于a〔D〕nx,ny都发散。4.当0x时,以下各无穷小量与x相比是高阶无穷小量的是[]〔A〕22xx〔B〕2sinx〔C〕sinxx〔D〕2sinxx5.以下极限中正确的选项是[]〔A〕1sinlimxxx〔B〕11sinlim0xxx〔C〕22sinlim0xxx〔D〕xx102lim6.函数0,00,1sin)(xxxxxf在0x处[]〔A〕不连续〔B〕连续但不可导〔C〕可导〔D〕无界7.的渐近线是曲线xxy232______2xA直线,63xyB2xyC都是与BAC二.填空题1.2543523231limxxxxxxx=。2.)11)...(411)(311)(211(lim2222nn=。3.设函数0,2cos0,3tan)(xxaxxxxf在0x处连续,则a。4.假设2lim22xaxxx=3,则a。5.假设axxbaxxx则,22222lim=。三.解答题1.计算311lnlimxxxxee2.计算23lim25xxxx3.求极限)111(lim0xxex5.2543523231limxxxxxxx6.,2tanlimxxx7.,limxoxx8.求极限xxxxsin11lim209.201coselimxxxxx10.确定函数xxexf111)(的间断点及其类型11.设函数2,1,1,2)2)(1()(4xxxxxbaxxxf在点x=1处连续,试确定常数a、b的值第二部分一元函数微分学一.选择题1.已知函数()fx在点0x处可导,且0()3fx,则000(5)()limhfxhfxh等于_____.A6.B0.C15.D102.如果0,xab,()0fx,()0fx,则0x一定是()fx的______.A极小值点.B极大值点.C最小值点.D最大值点3.yxyx则若,1lnln1ln1xDxxCxxBxxAxxx4.以下说法错误的选项是bayNbyaxAnnnnn则x时有Nn且若n,,limlim.N,.,00处连续在点则可导在点若函数xxfxxfyB.,.极值点也不一定是驻点驻点不一定是极值点CD.为驻点则可导且取得极值在点若00,xxxf5.设xxxfln)(在0x处可导,且2)(0/xf,则)(0xf=[]。〔A〕0;〔B〕1;〔C〕e;〔D〕2e.6.已知xxf2e21)(,则)21(f=[]〔A〕e2〔B〕e2〔C〕2e〔D〕e27.设0)(,0)(xgxf,且,0)()()()(xgxfxgxf则当bxa时,有[](A))()()()(xgbfbgxf;(B))()()()(xgafagxf(C))()()()(bgbfxgxf;(D))()()()(agafxgxf.8.设在]1,0[上,0)(xf则以下不等式中正确的[]〔A〕)0()1()0()1(ffff〔B〕)0()0()1()1(ffff〔C〕)0()1()0()1(ffff〔D〕)0()1()1()0(ffff9.函数xxxxf694)(23单调递减区间是[](A))0,((B))21,0((C)),1[(D)]1,21[二.填空题1.设)21(tan22xy,dy______________3.曲线tytx2cossin在4t处的切线方程为。4.如果)(xf在0x点处可导,则0022)()(lim0xxxfxfxx5.设方程xyyxarctan)ln(22确定了函数)(xyy,则dxdy。6.函数xxxf2)(2在]4,0[上满足拉格朗日中值定理条件的.7.设函数则,ln)(3xxxf)1(f。8.已知dxdyeyx求,3=。三.解答题1.设函数xxxy2cos12ln,求dy2.设2arcsin1yxxx,求y3.,212sin2yxxy求已知4.已知3ln33xyx,求y;5.已知)arctan()(2xexfy,求y;6.已知xeyx3sin2,求y;7.已知293arcsinxxxy,求y;8.已知xxey2,求0|xy;9.已知05sinsinxyx,求dxdy。10.设tttytxcossincosln,求22dxyd.11.设)(xyy是由方程xyyxarctanln22确定的隐函数,求dy12.设函数xxy11arctan,求y13.求函数3()3fxxx的增减区间与极值14.已知曲线32xxy,切线平行于直线xy,求切点坐标,并求切线方程15.由方程2ee)1ln(xyxy确定y是x的隐函数,求)(xy16.求函数)1ln(2xy的图形的拐点和凹凸区间17.设1lim)()1()1(2xnxnnebaxexxf,试确定常数a、b的值,使)(xf处处可导,并求)(xf18.试确定曲线32yaxbxcxd中,,,abcd的值,使得2x处曲线有水平切线,(1,10)为曲线的拐点,且点(2,44)在曲线上。四.证明题1.证明:当0x时,221)1ln(xxx2.设)(xf在[0,1]连续,(0,1)可导,f(1)=0,则存在)1,0(使0)()(fnf3.证明方程015xx在[0,1]之间只有一个实根。4.证明:当0x时,1arctan)1ln(xxx五、应用题1.欲做一个容积为300立方米的无盖圆柱形蓄水池,已知池底单位造价为周围造价的两倍,问蓄水池的尺寸应怎样设计才能使总造价最低?2.确定a的值,使33sinsin)(xxaxf在3x处取极值,指出它是极大值还是极小值?并求此极值.3...

1、当您付费下载文档后,您只拥有了使用权限,并不意味着购买了版权,文档只能用于自身使用,不得用于其他商业用途(如 [转卖]进行直接盈利或[编辑后售卖]进行间接盈利)。
2、本站所有内容均由合作方或网友上传,本站不对文档的完整性、权威性及其观点立场正确性做任何保证或承诺!文档内容仅供研究参考,付费前请自行鉴别。
3、如文档内容存在违规,或者侵犯商业秘密、侵犯著作权等,请点击“违规举报”。

碎片内容

高数上复习练习题

文库响当当+ 关注
实名认证
内容提供者

该用户很懒,什么也没介绍

相关文档

确认删除?
VIP
微信客服
  • 扫码咨询
会员Q群
  • 会员专属群点击这里加入QQ群
客服邮箱
回到顶部