电脑桌面
添加小米粒文库到电脑桌面
安装后可以在桌面快捷访问

高考天津数学理科模拟考试含详细解答全VIP免费

高考天津数学理科模拟考试含详细解答全_第1页
1/13
高考天津数学理科模拟考试含详细解答全_第2页
2/13
高考天津数学理科模拟考试含详细解答全_第3页
3/13
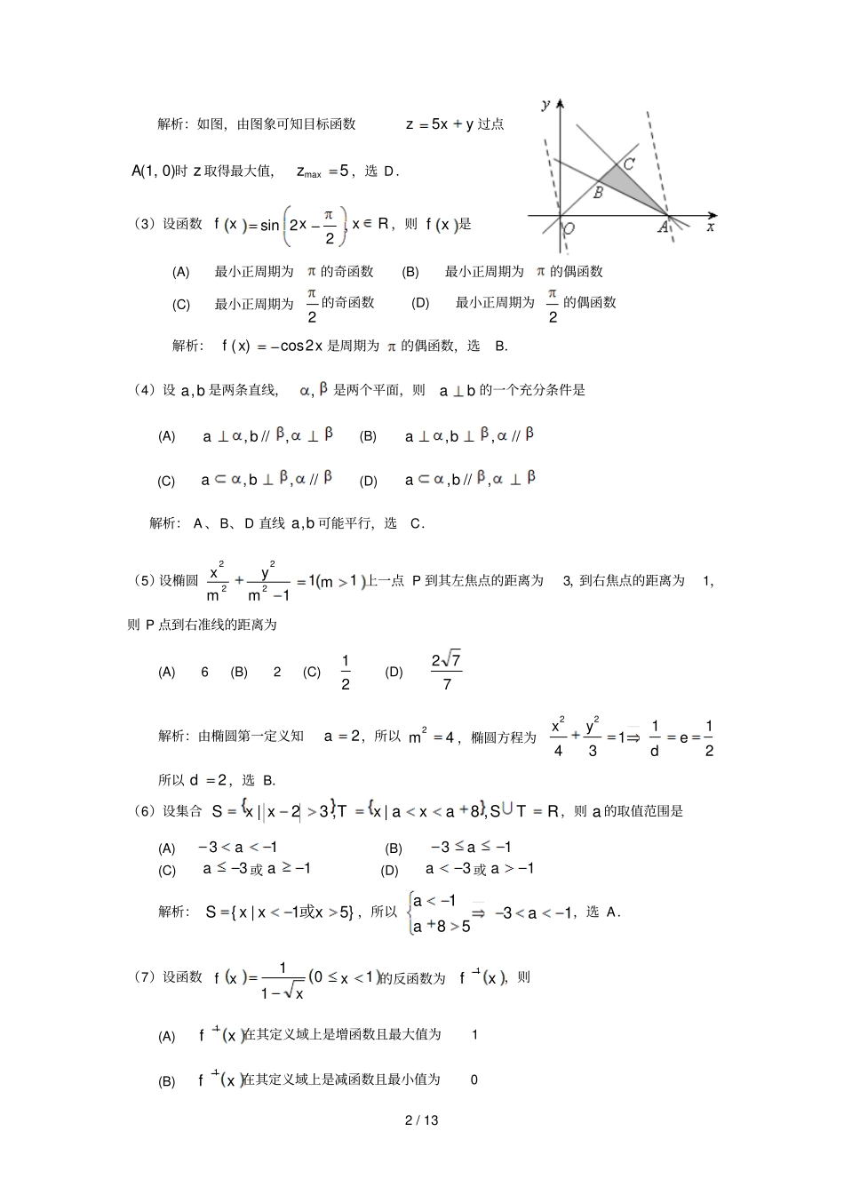
1/13绝密★启用前2008年普通高等学校招生全国统一考试(天津卷)数学(理工类)本试卷分第Ⅰ卷(选择题)和第Ⅱ卷(非选择题)两部分,共150分,考试用时120分钟。第Ⅰ卷1至2页,第Ⅱ卷3至10页。考试结束后,将本试卷和答题卡一并交回。祝各位考生考试顺利!第Ⅰ卷注意事项:1.答第Ⅰ卷前,考生务必将自己的姓名、准考证号、科目涂写在答题卡上,并在规定位置粘贴考试用条形码。2.每小题选出答案后,用铅笔把答题卡上对应题目的答案标号涂黑。如需改动,用橡皮擦干净后,再选涂其他答案标号。答在试卷上的无效。3.本卷共10小题,每小题5分,共50分。参考公式:·如果时间A,B互斥,那么·球的表面积公式P(A+B)=P(A)+P(B)24SR.·如果事件A,B相互独立,那么其中R表示球的半径.P(A·B)=P(A)·P(B)一、选择题:在每小题给出的四个选项中只有一项是符合题目要求的.(1)i是虚数单位,113iii(A)1(B)1(C)i(D)i解析:31(1)11111iiiiiiii,选A.(2)设变量yx,满足约束条件1210yxyxyx,则目标函数yxz5的最大值为(A)2(B)3(C)4(D)52/13解析:如图,由图象可知目标函数yxz5过点(1,0)A时z取得最大值,max5z,选D.(3)设函数Rxxxf,22sin,则xf是(A)最小正周期为的奇函数(B)最小正周期为的偶函数(C)最小正周期为2的奇函数(D)最小正周期为2的偶函数解析:()cos2fxx是周期为的偶函数,选B.(4)设ba,是两条直线,,是两个平面,则ba的一个充分条件是(A),//,ba(B)//,,ba(C)//,,ba(D),//,ba解析:A、B、D直线,ab可能平行,选C.(5)设椭圆1112222mmymx上一点P到其左焦点的距离为3,到右焦点的距离为1,则P点到右准线的距离为(A)6(B)2(C)21(D)772解析:由椭圆第一定义知2a,所以24m,椭圆方程为22111432xyed所以2d,选B.(6)设集合RTSaxaxTxxS,8|,32|,则a的取值范围是(A)13a(B)13a(C)3a或1a(D)3a或1a解析:{|15}Sxxx或,所以13185aaa,选A.(7)设函数1011xxxf的反函数为xf1,则(A)xf1在其定义域上是增函数且最大值为1(B)xf1在其定义域上是减函数且最小值为03/13(C)xf1在其定义域上是减函数且最大值为1(D)xf1在其定义域上是增函数且最小值为0解析:1yx为减函数,由复合函数单调性知()fx为增函数,所以1()fx单调递增,排除B、C;又1()fx的值域为()fx的定义域,所以1()fx最小值为0.(8)已知函数0101xxxxxf,则不等式111xfxx的解集是(A)121|xx(B)1|xx(C)12|xx(D)1212|xx解析:依题意得11010(1)()(1)1xxxxxxxx或所以111121212121xxxxxxRx或或,选C.(9)已知函数xf是R上的偶函数,且在区间,0上是增函数.令75tan,75cos,72sinfcfbfa,则(A)cab(B)abc(C)acb(D)cba解析:5(cos)(c2os)77bff,5(tan)(t2an)77cff因为2472,所以220cossin1tan7772,所以bac,选A.(10)有8张卡片分别标有数字1,2,3,4,5,6,7,8,从中取出6张卡片排成3行2列,要求3行中仅有中间行的两张卡片上的数字之和为5,则不同的排法共有(A)1344种(B)1248种(C)1056种(D)960种解析:首先确定中间行的数字只能为1,4或2,3,共有12224CA种排法.然后确定其余4个数字的排法数.用总数46360A去掉不合题意的情况数:中间行数字和为5,还有一行数字和为5,有4种排法,余下两个数字有2412A种排法.所以此时余下的这4个数字共有360412312种方法.由乘法原理可知共有31248412种不同的排法,选B.第Ⅱ卷4/13注意事项:1.答卷前将密封线内的项目填写清楚。2.用钢笔或圆珠笔直接答在试卷上3.本卷共12小题,共100分。二、填空题(本大题共6个小题,每小题4分,共24分.把答案填在题中横线上.)(11)52xx的二项展开式中,2x的系数是(用数字作答).解析:35521552()(2)rrrrrrrTCxCxx,所以2r,系数为225(2)40C.(12)一个正方体的各定点均在同一球的球面上,若该球的体积为34,则该正方体的表面积为.解析:由34433R得3R,所以2a,表面积为2624a.(13)已知圆C的圆心与抛物线xy42的焦点关于直线xy对称.直线0234yx与圆C相交于BA,两点,且6AB,则圆C的方程为.解析:抛物线的焦点为(1,0),所以圆心坐标为(0,1),2222(032)3105r,圆C的方程为22(1)10xy.(14)如图,在平行四边形ABCD中,2,3,2,1BDAC,则ACAD.解析:令ABa,ADb,则(1,2)...

1、当您付费下载文档后,您只拥有了使用权限,并不意味着购买了版权,文档只能用于自身使用,不得用于其他商业用途(如 [转卖]进行直接盈利或[编辑后售卖]进行间接盈利)。
2、本站所有内容均由合作方或网友上传,本站不对文档的完整性、权威性及其观点立场正确性做任何保证或承诺!文档内容仅供研究参考,付费前请自行鉴别。
3、如文档内容存在违规,或者侵犯商业秘密、侵犯著作权等,请点击“违规举报”。

碎片内容

高考天津数学理科模拟考试含详细解答全

爱的疯狂+ 关注
实名认证
内容提供者

该用户很懒,什么也没介绍

确认删除?
VIP
微信客服
  • 扫码咨询
会员Q群
  • 会员专属群点击这里加入QQ群
客服邮箱
回到顶部