电脑桌面
添加小米粒文库到电脑桌面
安装后可以在桌面快捷访问

黑龙江省青冈县一中高二数学下学期月考试题 理(A卷)-人教版高二全册数学试题VIP免费

黑龙江省青冈县一中高二数学下学期月考试题 理(A卷)-人教版高二全册数学试题_第1页
1/4
黑龙江省青冈县一中高二数学下学期月考试题 理(A卷)-人教版高二全册数学试题_第2页
2/4
黑龙江省青冈县一中高二数学下学期月考试题 理(A卷)-人教版高二全册数学试题_第3页
3/4
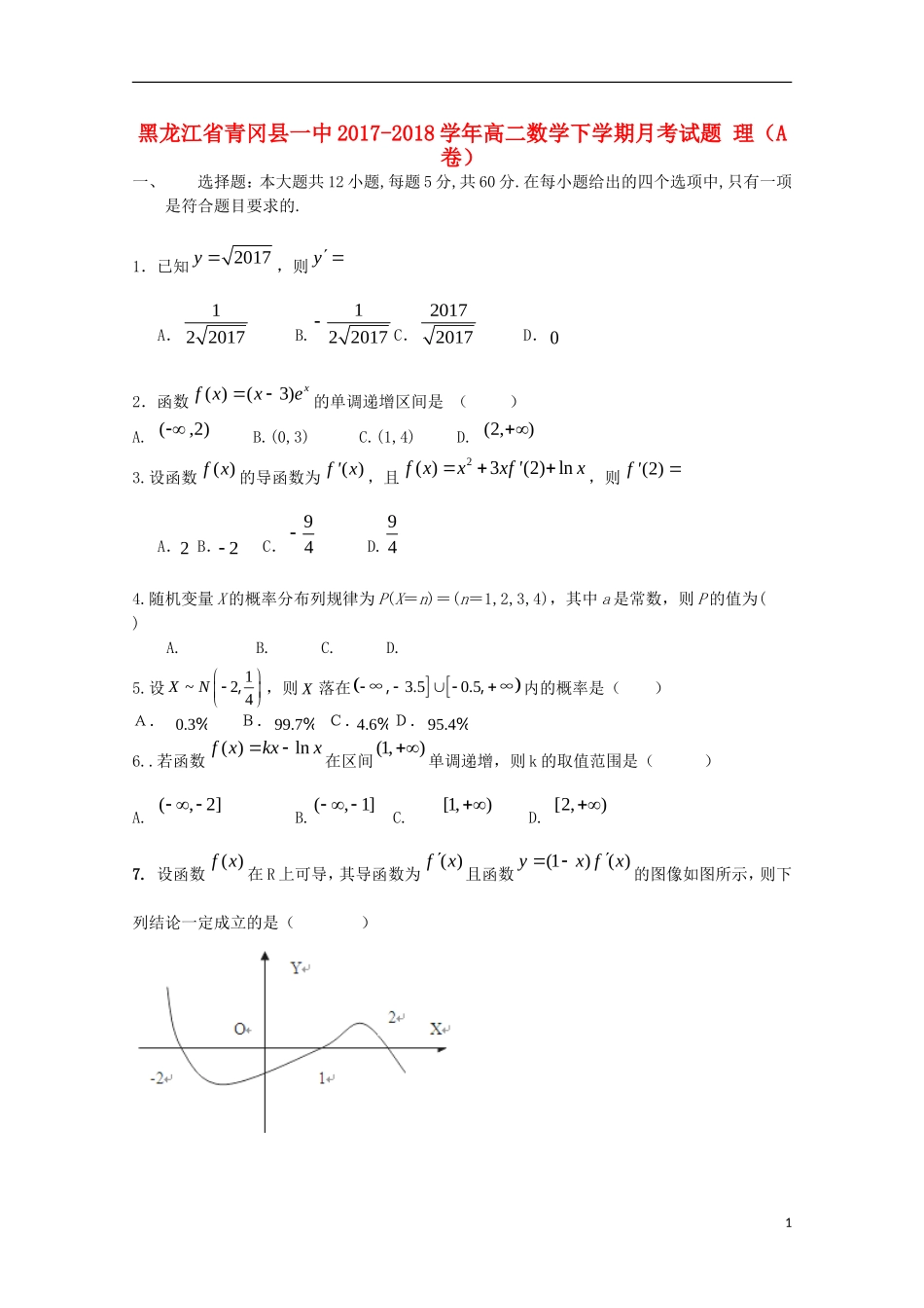
黑龙江省青冈县一中2017-2018学年高二数学下学期月考试题理(A卷)一、选择题:本大题共12小题,每题5分,共60分.在每小题给出的四个选项中,只有一项是符合题目要求的.1.已知2017y,则yA.122017B.122017C.20172017D.02.函数xexxf)3()(的单调递增区间是()A.)2,(B.(0,3)C.(1,4)D.),2(3.设函数()fx的导函数为()f'x,且2()3(2)lnfxxf'xx,则2()f'A.2B.2C.94D.944.随机变量X的概率分布列规律为P(X=n)=(n=1,2,3,4),其中a是常数,则P的值为()A.B.C.D.5.设1~24XN,,则X落在3.50.5,,∞∞内的概率是()A.0.3%B.99.7%C.4.6%D.95.4%6..若函数()lnfxkxx在区间(1,)单调递增,则k的取值范围是()A.(,2]B.(,1]C.[1,)D.[2,)7.设函数()fx在R上可导,其导函数为()fx且函数(1)()yxfx的图像如图所示,则下列结论一定成立的是()1A.函数()fx的极大值是(2)f,极小值是(1)fB.函数()fx的极大值是(2)f,极小值是(2)fC.函数()fx的极大值是(2)f,极小值是(2)fD.函数()fx的极大值是(2)f,极小值是(1)f8.若P(ξ≤x2)=1-β,P(ξ≥x1)=1-α,其中x1

1、当您付费下载文档后,您只拥有了使用权限,并不意味着购买了版权,文档只能用于自身使用,不得用于其他商业用途(如 [转卖]进行直接盈利或[编辑后售卖]进行间接盈利)。
2、本站所有内容均由合作方或网友上传,本站不对文档的完整性、权威性及其观点立场正确性做任何保证或承诺!文档内容仅供研究参考,付费前请自行鉴别。
3、如文档内容存在违规,或者侵犯商业秘密、侵犯著作权等,请点击“违规举报”。

碎片内容

黑龙江省青冈县一中高二数学下学期月考试题 理(A卷)-人教版高二全册数学试题

您可能关注的文档

确认删除?
微信客服
  • 扫码咨询
会员Q群
  • 会员专属群点击这里加入QQ群