电脑桌面
添加小米粒文库到电脑桌面
安装后可以在桌面快捷访问

第十章曲线积分和曲面积分VIP免费

第十章曲线积分和曲面积分_第1页
1/11
第十章曲线积分和曲面积分_第2页
2/11
第十章曲线积分和曲面积分_第3页
3/11
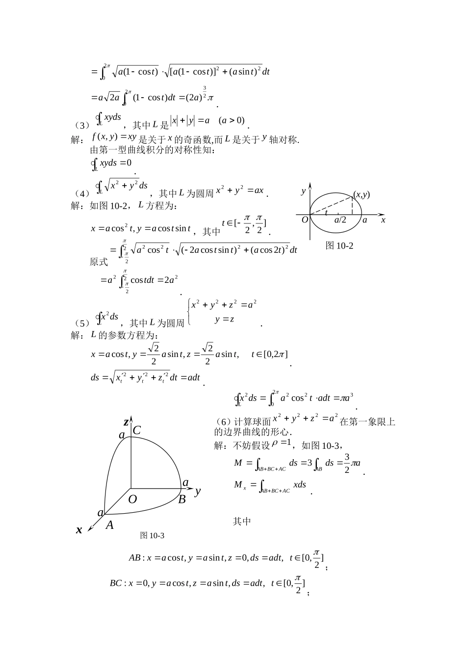
第一章第十章曲线积分和曲面积分一、一、基本内容(一)第一型曲线积分与曲面积分1.第一型曲线积分(1)第一型曲线积分的定义niiiiiLsfdszyxf10),,(lim),,(若L是封闭的,则记作Ldszyxf),,(.(2)第一型曲线积分的计算dtttttttfdszyxfL222)]([)]([)]([)](),(),([),,(2.第一型曲面积分(1)第一型曲面积分的定义niiiiiSfdSzyxf10),,(lim),,((2)第一型曲面积分的计算DyxdxdyzzyxzyxfdSzyxf221)],(,,[),,((二)第二型曲线积分1第二型曲线积分的定义设)},,(),,,(),,,({),,(zyxRzyxQzyxPzyxF,当LdsPcos,LdsQcos,LdsRcos都存在时,其中}cos,cos,{cos是L的单位切向量,称LLLLRdzQdyPdxRdzQdyPdx为一般形式的第二型曲线积分.2.第二型曲线积分的计算dttztztytxRtytztytxQtxtztytxPRdzQdyPdxL)]())(),(),(()())(),(),(()())(),(),(([3.格林公式及其一些命题(1)格林公式DLdxdyyPxQdyyxQdxyxP)(),(),((2)若),(yxP、),(yxQ、yP、xQ在单连通域D上均连续,则下列四个命题等价:1)ABQdyPdx只依赖于区域D内的起点A与终点B,而与连结A、B的积分路径无关;2)在区域D上,QdyPdx是某一个函数),(yxF的全微分,且),(),(),(yxbaQdyPdxyxF点),(ba是D内的某一定点,点),(yx是D内的动点;3)yPxQ在区域D上的每一点处都成立;4)0LQdyPdx,其中L是D内的任意一条逐段光滑的闭曲线.(三)第二型曲面积分1.第二型曲面积分的定义称RdxdyQdzdxPdydz为一般形式的第二型曲面积分,当是闭曲面时,积分号将写成.2.第二型曲面积分的计算DdxdyyxfyxRdxdyzyxR)],(,,[),,(,同理计算dydzzyxP),,(,dzdxzyxQ),,(.3.奥-高公式与斯托克斯公式(1)dxdydzzRyQxPRdxdyQdzdxPdydz)((2)dxdyyPxQdzdxxRzPdydzzQyR)()()(LRdzQdyPdx4..向量场的散度与旋度称zRyQxPRdxdyQdzdxPdydzVdivFN1lim为散度,称},,{yPxQxRzPzQyRrotF为旋度.二、练习题10.1计算下列第一型曲线积分:(1)计算Ldsyx)(,其中L为连接)0,0(O,)1,0(A,)1,1(B的直线段所围成的围线解:如图10-1,dydsyyxOA;;0:;dxdsxyxxOB2;;:;dxdsyxxAB;1;:.ABOBOALdsyxdsyx)()(22)1(2)(101010dxxdxxxydy.(2)Ldsy,其中L为摆线)sin(ttax,)cos1(tay的第一拱.解:摆线的第一拱,则]2,0[t.LdsyO11ABxy图10-12022)sin()]cos1([)cos1(dttatata2320)2()cos1(2adttaa.(3)Lxyds,其中L是)0(aayx.解:xyyxf),(是关于x的奇函数,而L是关于y轴对称.由第一型曲线积分的对称性知:0Lxyds.(4)Ldsyx22,其中L为圆周axyx22.解:如图10-2,L方程为:ttaytaxsincos,cos2,其中]2,2[t.原式222222)2cos()sincos2(cosdttattata22222cosatdta.(5)Ldsx2,其中L为圆周zyazyx2222.解:L的参数方程为:]2,0[,sin22,sin22,costtaztaytax.adtdtzyxdsttt222.320222cosaadttadsxL.(6)计算球面2222azyx在第一象限上的边界曲线的形心.解:不妨假设1,如图10-3,adsdsMABACBCAB233.ACBCABxxdsM.其中]2,0[,,0,sin,cos:tadtdsztaytaxAB;]2,0[,,sin,cos,0:tadtdstaztayxBC;zOBaxACyaa图10-3(x,y)a/2axyOt图10-2]2,0[,,cos,0,sin:tadtdstazytaxAC.220202sin0cosaadttaadttaMx.故34aMMxx.又由于图形的对称性知34azyx.(7)设L的方程为)0()(2222ayxxayx,其线密度)(1222yxa,求L对于...

1、当您付费下载文档后,您只拥有了使用权限,并不意味着购买了版权,文档只能用于自身使用,不得用于其他商业用途(如 [转卖]进行直接盈利或[编辑后售卖]进行间接盈利)。
2、本站所有内容均由合作方或网友上传,本站不对文档的完整性、权威性及其观点立场正确性做任何保证或承诺!文档内容仅供研究参考,付费前请自行鉴别。
3、如文档内容存在违规,或者侵犯商业秘密、侵犯著作权等,请点击“违规举报”。

碎片内容

第十章曲线积分和曲面积分

状元书阁+ 关注
实名认证
内容提供者

爱好英语教学和互联网行业,热爱教育事业,兢兢业业

确认删除?
VIP
微信客服
  • 扫码咨询
会员Q群
  • 会员专属群点击这里加入QQ群
客服邮箱
回到顶部