电脑桌面
添加小米粒文库到电脑桌面
安装后可以在桌面快捷访问

等和线解决的平面向量专题VIP专享VIP免费

等和线解决的平面向量专题_第1页
1/11
等和线解决的平面向量专题_第2页
2/11
等和线解决的平面向量专题_第3页
3/11
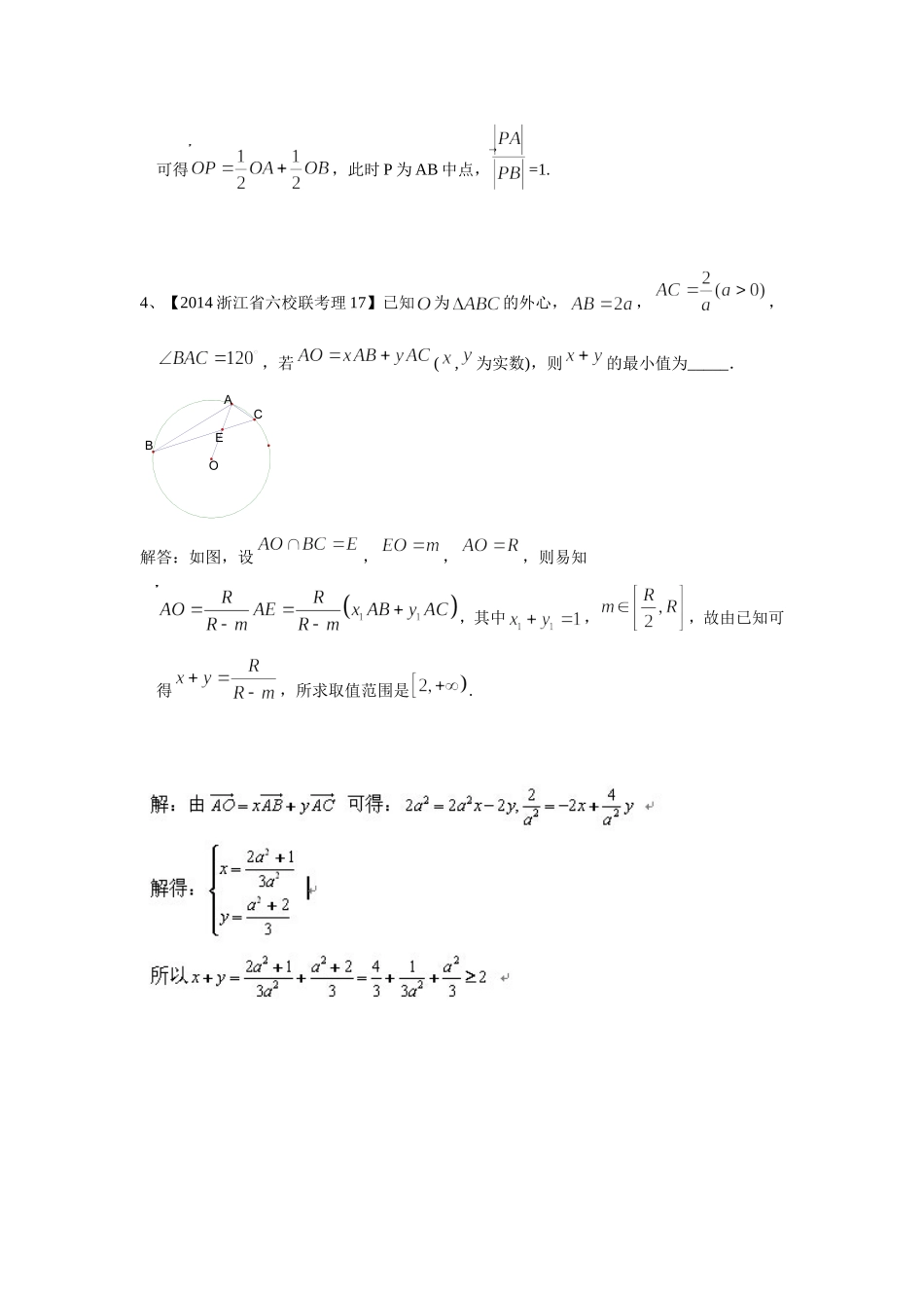
1、【2014宁波二模理17】已知点O是△ABC的外接圆圆心,且AB=3,AC=4.若存在非零实数x、y,使得,且,则∠BAC=.ODBCA解答:取AC中点D,则有,而,得点B,O,D三点共线,已知点O是△ABC的外心,可得,故有BC=AB=3,AC=4,求得.2、【2014杭州二模文8理6】设△ABC的外心(三角形外接圆的圆心).若,则的度数为()A.30°B.45°C.60°D.90°ODBCA解答:取AC中点D,则有,得点B,O,D三点共线,已知点O是△ABC的外心,可得,即有AO=BO=2DO,故可求得.3、【2009浙江理样卷6】已知,点P在直线AB上,且满足,则=()A.B.C.2D.3解答:由已知,点P在直线AB上,得,解得或.当时,可得,此时A为PB中点,=;当时,可得,此时P为AB中点,=1.4、【2014浙江省六校联考理17】已知为的外心,,,,若(,为实数),则的最小值为_____.EOBCA解答:如图,设,,,则易知,其中,,故由已知可得,所求取值范围是.5、【2013学年第一学期末宁波理17】已知O为ABC的外心,120,2,4BACACAB。若ACABAO21,则21__________.EGFOBCA解法1:如图,设,,,于F点,于G点,则易知,其中,由已知可求得,,故可求得.解法2:,得,解得,故.解法3:设,,,外心O是AB中垂线和中垂线的交点,得,,,得,有误,重解【变式1】、已知向量a,b的夹角为,且|a|=4,|b|=2,|a-c|=|b-c|=|c|,若c=xa+yb,则x+y=.6、【2013学年第一学期月考宁海县正学中学文17】已知a,b为平面内两个互相垂直的单位向量,若向量c满足()c+a=c+b,则|c|的最小值为BOAC解答:如图,由已知,设,,,则点C在直线AB上,得有最小值.7、【2012年稽阳联考15】A,B,P是直线l上不同的三点,点O在直线l外,若,则=2。解答:8、【2013杭二中高三适应考理17】如图,在直角梯形ABCD中,ADAB,AB∥DC,1ADDC,2AB,动点P在以点C为圆心,且与直线BD相切的圆上或圆内移动,设APADAB�(,R),则取值范围是.EABDCP解答:设,,,则,其中,得,表示点P到BC边的距离,,得所求取值范围是.9、已知等差数列na的前n项和为nS,若,20092OCaOBaOA且A,B,C三点共线(该直线不过点O),则2010S等于(D)A.2010B.2008C.1010D.100510、已知等差数列的前项和为,若且A,B,C三点共线(该直线不过点O),则等于(D)A.B.C.D.11、如图,在扇形OAB中,,C为弧AB上的一个动点.若,则3xy的取值范围是[1,3].EDOCAB解答:如图,在OB上取一点D,使OB=3OD,设,,,则有,其中,另有,得,易知当点C和点A重合时达最小值0,当点C和点B重合时达最大值2,故.12、如图,四边形OABC是边长为1的正方形,OD=3,点P为△BCD内(含边界)的动点,设,则的最大值等于13、在平面直角坐标系中,O是坐标原点,若两定点,AB满足2OBOAOBOA,则点集R,,2,|OBOAOPP所表示的区域的面积是316.14、若等边的边长为,平面内一点满足,则(C)A.B.C.D.15、若等边ABC的边长为32,平面内一点M满足CACBCM3261,则MBMA-2.16、若M为ABC内一点,且满足,则ABM与ABC的面积之比为1:4.17、设O是的外心,,,,,则=418、已知O为△ABC的外心,,若,且32x+25y=25,则=10.19、已知AB、是单位圆上的两点,O为圆心,且AOB0120,MN是圆O的一条直径,点C在圆内,且满足(1)OCOAOB�(01),则CMCN�的取值范围是(C)A.1[,1)2B.[1,1)C.3[,0)4D.[1,0)20、已知圆O的半径为2,AB、是圆上两点且AOB23,MN是一条直径,点C在圆内且满足(1)OCOAOB�1t,则CMCN�的最小值为(C)A.-2B.-1C.-3D.-421、已知,,,,若,,则的最大值是.22、【2014稽阳联谊理16】在中,,以AB为一边向外作等边,若,,则=.E150°-3θmmm90°-θD'θ2θθDCBA解:如图,设点D关于AC的对称点为,且交于点.设,则在中利用正弦定理得从而得,从而或从而得.显然,故.23、已知中,AB=4,AC=2,若22ABAC�的最小值是2,则对于ABC内一点P,PAPBPC�的最小值是______.GFCEDABP解:的最小值是2,设1AEABAD�,则点E在直线AD上,AB=4,AC=2,AD=4...

1、当您付费下载文档后,您只拥有了使用权限,并不意味着购买了版权,文档只能用于自身使用,不得用于其他商业用途(如 [转卖]进行直接盈利或[编辑后售卖]进行间接盈利)。
2、本站所有内容均由合作方或网友上传,本站不对文档的完整性、权威性及其观点立场正确性做任何保证或承诺!文档内容仅供研究参考,付费前请自行鉴别。
3、如文档内容存在违规,或者侵犯商业秘密、侵犯著作权等,请点击“违规举报”。

碎片内容

等和线解决的平面向量专题

确认删除?
VIP
微信客服
  • 扫码咨询
会员Q群
  • 会员专属群点击这里加入QQ群
客服邮箱
回到顶部