电脑桌面
添加小米粒文库到电脑桌面
安装后可以在桌面快捷访问

三角测量应用题资料VIP免费

三角测量应用题资料_第1页
1/12
三角测量应用题资料_第2页
2/12
三角测量应用题资料_第3页
3/12
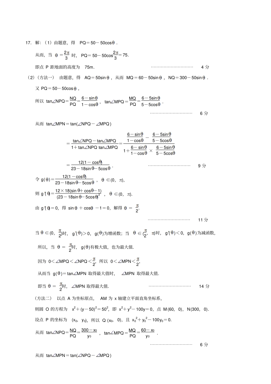
专题2:三角应用题探究1:以三角函数的图象为载体的三角应用题1、如图,摩天轮的半径为50m,点O距地面的高度为60m,摩天轮做匀速转动,每3min转一圈,摩天轮上点P的起始位置在最低点处.(1)试确定在时刻t(min)时点P距离地面的高度;(2)在摩天轮转动的一圈内,有多长时间点P距离地面超过85m?(3)求证:不论t为何值,)2()1()(tftftf是定值.【解】设点P离地面的距离为y,则可令y=Asin(ωt+φ)+b.由题设可知A=50,b=60.又T=2πω=3,所以ω=2π3,从而y=50sin(2π3t+φ)+60.再由题设知t=0时y=10,代入y=50sin(2π3t+φ)+60,得sinφ=-1,从而φ=-π2.因此,y=60-50cos2π3t(t≥0).(2)要使点P距离地面超过85m,则有y=60-50cos2π3t>85,即cos2π3t<-12.于是由三角函数基本性质推得2π3<2π3t<4π3,即1<t<2.所以,在摩天轮转动的一圈内,点P距离地面超过85m的时间有1分钟.2、如图,摩天轮的半径OA为50m,它的最低点A距地面的高度忽略不计.地面上有一长度为240m的景观带MN,它与摩天轮在同一竖直平面内,且AM=60m.点P从最低点A处按逆时针方向转动到最高点B处,记AOP=,∈(0,π).(1)当=23时,求点P距地面的高度PQ;(2)试确定的值,使得MPN取得最大值.(第17题图)AMNBOPQ17.解:(1)由题意,得PQ=50-50cos.从而,当=23时,PQ=50-50cos23=75.即点P距地面的高度为75m.⋯⋯⋯⋯⋯⋯⋯⋯⋯⋯4分(2)(方法一)由题意,得AQ=50sin,从而MQ=60-50sin,NQ=300-50sin.又PQ=50-50cos,所以tanNPQ=NQPQ=6-sin1-cos,tanMPQ=MQPQ=6-5sin5-5cos.⋯⋯⋯⋯⋯⋯⋯⋯⋯⋯6分从而tanMPN=tan(NPQ-MPQ)=tanNPQ-tanMPQ1+tanNPQtanMPQ=6-sin1-cos-6-5sin5-5cos1+6-sin1-cos×6-5sin5-5cos=12(1-cos)23-18sin-5cos.⋯⋯⋯⋯⋯⋯⋯⋯⋯⋯9分令g()=12(1-cos)23-18sin-5cos,∈(0,π),则g()=12×18(sin+cos-1)(23-18sin-5cos)2,∈(0,π).由g()=0,得sin+cos-1=0,解得=2.⋯⋯⋯⋯⋯⋯⋯⋯⋯⋯11分当∈(0,2)时,g()>0,g()为增函数;当∈(2,)时,g()<0,g()为减函数,所以,当=2时,g()有极大值,也为最大值.因为0<MPQ<NPQ<2,所以0<MPN<2,从而当g()=tanMPN取得最大值时,MPN取得最大值.即当=2时,MPN取得最大值.⋯⋯⋯⋯⋯⋯⋯⋯⋯⋯14分(方法二)以点A为坐标原点,AM为x轴建立平面直角坐标系,则圆O的方程为x2+(y-50)2=502,即x2+y2-100y=0,点M(60,0),N(300,0).设点P的坐标为(x0,y0),所以Q(x0,0),且x02+y02-100y0=0.从而tanNPQ=NQPQ=300-x0y0,tanMPQ=MQPQ=60-x0y0.⋯⋯⋯⋯⋯⋯⋯⋯⋯⋯6分从而tanMPN=tan(NPQ-MPQ)=tanNPQ-tanMPQ1+tanNPQtanMPQ=300-x0y0-60-x0y01+300-x0y0×60-x0y0=24y010y0-36x0+1800.由题意知,x0=50sin,y0=50-50cos,所以tanMPN==12(1-cos)23-18sin-5cos.⋯⋯⋯⋯⋯⋯⋯⋯⋯⋯9分探究2:以解三角形为载体的三角应用题3、某市某棚户区改造建筑用地平面示意图如图所示.经规划调研确定,棚改规划建筑用地区域是半径为R的圆面.该圆面的内接四边形ABCD是原棚户建筑用地,测量可知边界AB=AD=4千米,BC=6千米,CD=2千米,(1)请计算原棚户区建筑用地ABCD的面积及圆面的半径R的值;(2)因地理条件的限制,边界AD、DC不能变更,而边界AB、BC可以调整,为了提高棚户区改造建筑用地的利用率,请在圆弧ABC上设计一点P,使得棚户区改造的新建筑用地APCD的面积最大,并求最大值.17.解:(1)180ABCADC,由余弦定理得:2222246246cos42224cosACABCADC∴1cos2ABC⋯⋯⋯⋯⋯⋯⋯⋯⋯⋯⋯⋯2分 (0,)ABC∴60ABC,120ADCS四边形ABCD=1146sin6024sin1208322(平方千米)⋯⋯5分2222cos28ACABBCABBCABC∴27AC由正弦定理得:274212sin332ACRB(千米)2213R(千米)⋯⋯⋯⋯⋯⋯⋯⋯⋯⋯⋯⋯8分(2)S四边形APCD=ADCAPCSS,又1sin120232ADCSADCD⋯⋯⋯⋯9分ABCDPO设AP=x,CP=y,则13sin6024APCSxyxy⋯⋯⋯⋯⋯⋯⋯10分由余弦定理得:2220222cos6028ACxyxyxyxy222xyxyxyxyxy∴28xy,当且仅当x=y时取“=”⋯⋯⋯...

1、当您付费下载文档后,您只拥有了使用权限,并不意味着购买了版权,文档只能用于自身使用,不得用于其他商业用途(如 [转卖]进行直接盈利或[编辑后售卖]进行间接盈利)。
2、本站所有内容均由合作方或网友上传,本站不对文档的完整性、权威性及其观点立场正确性做任何保证或承诺!文档内容仅供研究参考,付费前请自行鉴别。
3、如文档内容存在违规,或者侵犯商业秘密、侵犯著作权等,请点击“违规举报”。

碎片内容

三角测量应用题资料

确认删除?
VIP
微信客服
  • 扫码咨询
会员Q群
  • 会员专属群点击这里加入QQ群
客服邮箱
回到顶部