电脑桌面
添加小米粒文库到电脑桌面
安装后可以在桌面快捷访问

两角和与差余弦公式学案VIP免费

两角和与差余弦公式学案_第1页
1/2
两角和与差余弦公式学案_第2页
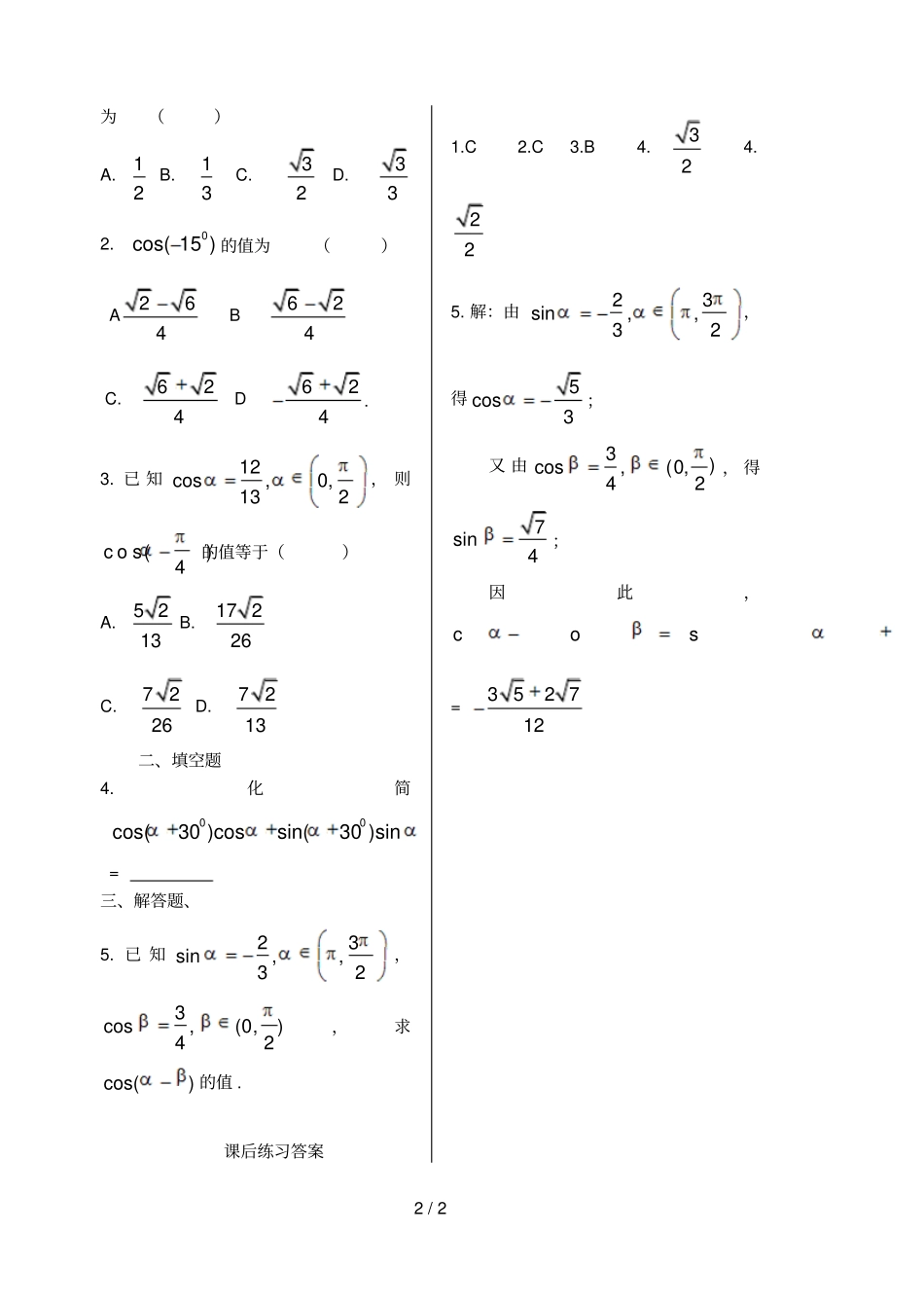
2/2
1/23.1.1两角差的余弦公式探究一:用计算器求值:0cos45,0cos30,0cos150000cos(4530)cos45cos30是否成立?为什么?探究二:两角差的余弦公式的推导1.三角函数线法:问:①怎样作出角、、的终边。②怎样作出角的余弦线OM③怎样利用几何直观寻找OM的表示式。2.向量法:问:①结合图形,明确应选哪几个向量,它们怎么表示?②怎样利用向量数量积的概念和计算公式得到结果。③对探索的过程进一步严谨性的思考和处理,从而得到合理的科学结论。例题整理例1.利用差角余弦公式求0cos15的值变式训练:利用两角差的余弦公式证明下列诱导公式:(1)sin)2cos(;(2)cos(2)cos4π52.sinα=απcosβ=-βcos5213例已知,(,),,第三象限角,求()的值变式训练:15sincos173已知,是第二象限角,求()的值反思总结本节主要考察如何用任意角,的正弦余弦值来表示cos(),回顾公式C()的推导过程,观察公式的特征,注意符号区别以及公式中角,的任意性,特别要注意公式既可正用、逆用,还可变用(即要活用).在求值的过程中,还要注意掌握“变角”和“拆角”的思想方法解决问题.当堂检测1.利用两角和(差)的余弦公式,求00cos75,cos1052.求值0000cos75cos30sin75sin303.化简cos154.cossin3714已知,为锐角,,(),课后练习与提高一、选择题1.0000cos50cos20sin50sin20的值2/2为()A.12B.13C.32D.332.0cos(15)的值为()A264B624C.624D624.3.已知12cos,0,132,则cos()4的值等于()A.5213B.17226C.7226D.7213二、填空题4.化简00cos(30)cossin(30)sin=三、解答题、5.已知23sin,,32,)2,0(,43cos,求cos()的值.课后练习答案1.C2.C3.B4.324.225.解:由23sin,,32,得5cos3;又由)2,0(,43cos,得7sin4;因此,cos=352712

1、当您付费下载文档后,您只拥有了使用权限,并不意味着购买了版权,文档只能用于自身使用,不得用于其他商业用途(如 [转卖]进行直接盈利或[编辑后售卖]进行间接盈利)。
2、本站所有内容均由合作方或网友上传,本站不对文档的完整性、权威性及其观点立场正确性做任何保证或承诺!文档内容仅供研究参考,付费前请自行鉴别。
3、如文档内容存在违规,或者侵犯商业秘密、侵犯著作权等,请点击“违规举报”。

碎片内容

两角和与差余弦公式学案

您可能关注的文档

爱的疯狂+ 关注
实名认证
内容提供者

该用户很懒,什么也没介绍

相关文档

确认删除?
VIP
微信客服
  • 扫码咨询
会员Q群
  • 会员专属群点击这里加入QQ群
客服邮箱
回到顶部