电脑桌面
添加小米粒文库到电脑桌面
安装后可以在桌面快捷访问

高二数学暑假作业 第二十天 理-人教版高二全册数学试题VIP免费

高二数学暑假作业 第二十天 理-人教版高二全册数学试题_第1页
1/3
高二数学暑假作业 第二十天 理-人教版高二全册数学试题_第2页
2/3
高二数学暑假作业 第二十天 理-人教版高二全册数学试题_第3页
3/3
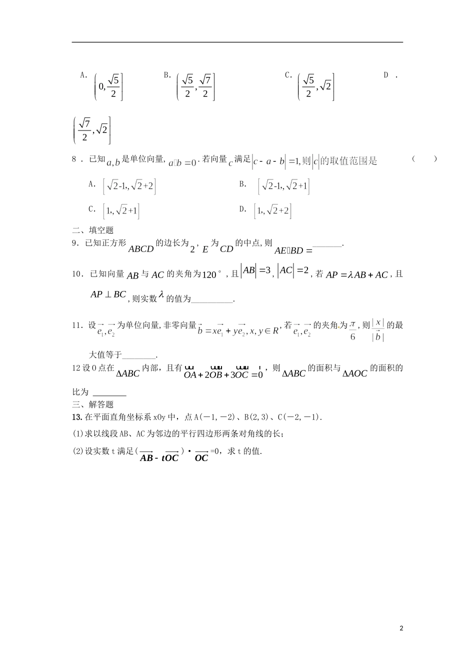
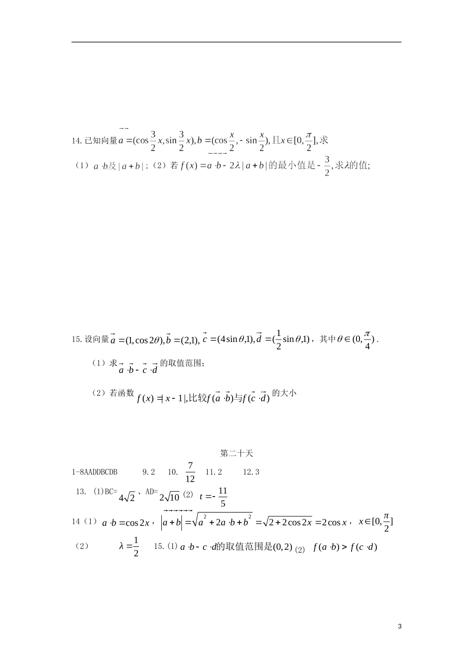
第20天平面向量【课标导航】平面向量的概念、运算及应用一、选择题1.已知点()A.B.C.D.2.已知点O是平面ABC上一定点,若动点P满足,那么动点P的轨迹一定过△ABC的()A.重心B.垂心C.外心D.内心3.已知点O是平面ABC上一定点,若动点P满足,那么动点P的轨迹一定过△ABC的()A.重心B.垂心C.外心D.内心4.在边长为1的正六边形ABCDEF中,记以A为起点,其余顶点为终点的向量分别为;以D为起点,其余顶点为终点的向量分别为.若分别为的最小值、最大值,其中,,则满足()A.B.C.D.5.设是边上一定点,满足,且对于边上任一点,恒有.则()A.B.C.D.6.在四边形ABCD中,,,则四边形的面积为()A.B.C.5D.107.在平面上,12ABAB�,121OBOB�,12APABAB�.若12OP�,则OA�的取值范围是()1A.50,2B.57,22C.5,22D.7,228.已知是单位向量,.若向量满足()A.B.C.D.二、填空题9.已知正方形ABCD的边长为2,E为CD的中点,则AEBD�_______.10.已知向量AB�与AC�的夹角为120°,且3AB�,2AC�,若APABAC�,且APBC�,则实数的值为__________.11.设为单位向量,非零向量,若的夹角为,则的最大值等于________.12设O点在ABC内部,且有230OAOBOCuuruuuruuurr,则ABC的面积与AOC的面积的比为三、解答题13.在平面直角坐标系xOy中,点A(-1,-2)、B(2,3)、C(-2,-1).(1)求以线段AB、AC为邻边的平行四边形两条对角线的长;(2)设实数t满足(OCtAB)·OC=0,求t的值.214.已知向量(1);(2)若15.设向量),1,2(),2cos,1(ba)1,sin21(),1,sin4(dc,其中)4,0(.(1)求dcba的取值范围;(2)若函数)()(|,1|)(dcfbafxxf与比较的大小第二十天1-8AADDBCDB9.210.71211.212.313.(1)BC=42、AD=210(2)115t14(1)cos2abx,22222cos22cosabaabbxx,[0,]2πx(2)12λ15.(1)(0,2)abcd��的取值范围是(2)()()fabfcd��3

1、当您付费下载文档后,您只拥有了使用权限,并不意味着购买了版权,文档只能用于自身使用,不得用于其他商业用途(如 [转卖]进行直接盈利或[编辑后售卖]进行间接盈利)。
2、本站所有内容均由合作方或网友上传,本站不对文档的完整性、权威性及其观点立场正确性做任何保证或承诺!文档内容仅供研究参考,付费前请自行鉴别。
3、如文档内容存在违规,或者侵犯商业秘密、侵犯著作权等,请点击“违规举报”。

碎片内容

高二数学暑假作业 第二十天 理-人教版高二全册数学试题

您可能关注的文档

雨丝书吧+ 关注
实名认证
内容提供者

乐于和他人分享知识,从事历史教学,热爱教育,高度负责。

确认删除?
VIP
微信客服
  • 扫码咨询
会员Q群
  • 会员专属群点击这里加入QQ群
客服邮箱
回到顶部