电脑桌面
添加小米粒文库到电脑桌面
安装后可以在桌面快捷访问

(江苏版)高考数学一轮复习 专题4.4 三角函数图像与性质(测)-江苏版高三全册数学试题VIP免费

(江苏版)高考数学一轮复习 专题4.4 三角函数图像与性质(测)-江苏版高三全册数学试题_第1页
1/3
(江苏版)高考数学一轮复习 专题4.4 三角函数图像与性质(测)-江苏版高三全册数学试题_第2页
2/3
(江苏版)高考数学一轮复习 专题4.4 三角函数图像与性质(测)-江苏版高三全册数学试题_第3页
3/3
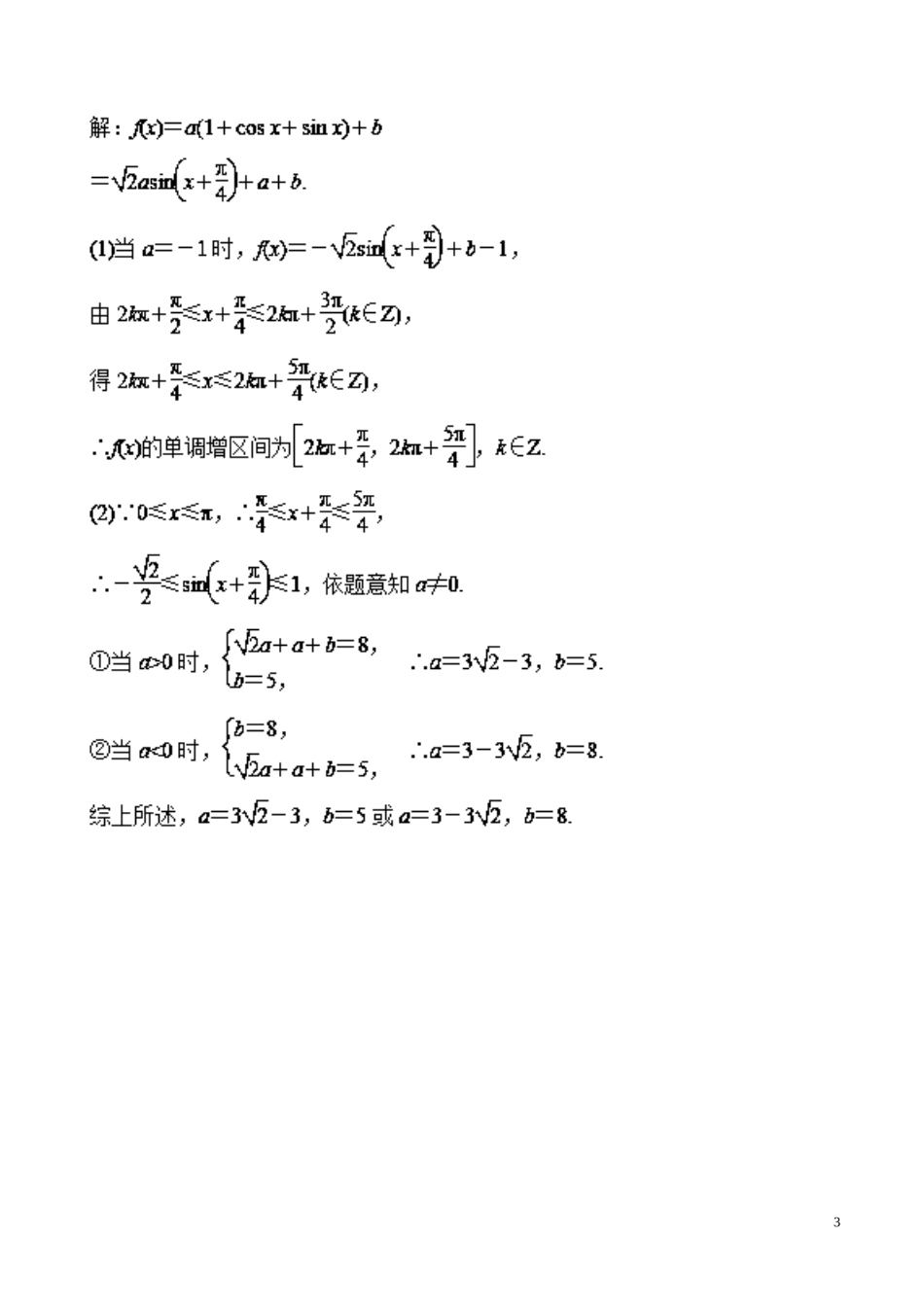
专题4.4三角函数图像与性质一、填空题1.函数f(x)=tan的单调递增区间是2.已知函数y=sinωx(ω>0)在区间上为增函数,且图象关于点(3π,0)对称,则ω的取值集合为【解析】由题意知即其中k∈Z,则ω=,ω=或ω=1,即ω的取值集合为.3.设函数f(x)=3sin,若存在这样的实数x1,x2,对任意的x∈R,都有f(x1)≤f(x)≤f(x2)成立,则|x1-x2|的最小值为________.【答案】2【解析】∵对任意x∈R,都有f(x1)≤f(x)≤f(x2)成立,∴f(x1),f(x2)分别为函数f(x)的最小值和最大值,∴|x1-x2|的最小值为T=×=2.4.若函数f(x)=sin(ω>0)的图象的相邻两条对称轴之间的距离为,且该函数图象关于点(x0,0)成中心对称,x0∈,则x0=【解析】由题意得=,T=π,则ω=2.由2x0+=kπ(k∈Z),得x0=-(k∈Z),又x0∈,所以x0=.5.已知x∈(0,π],关于x的方程2sin=a有两个不同的实数解,则实数a的取值范围为________.【答案】(,2)【解析】令y1=2sin,x∈(0,π],y2=a,作出y1的图象如图所示.若2sin=a在(0,π]上有两个不同的实数解,则y1与y2应有两个不同的交点,所以0,|φ|<的最小正周期为4π,且对任意x∈R,都有f(x)≤f成立,则f(x)图象的对称中心的坐标是7.函数y=tan的图象与x轴交点的坐标是________.【答案】,k∈Z【解析】由2x+=kπ(k∈Z)得,x=-(k∈Z).∴函数y=tan的图象与x轴交点的坐标是,k∈Z.8.若函数f(x)=sinωx(ω>0)在区间上单调递增,在区间上单调递减,则ω=________.【答案】【解析】∵f(x)=sinωx(ω>0)过原点,1∴当0≤ωx≤,即0≤x≤时,y=sinωx是增函数;当≤ωx≤,即≤x≤时,y=sinωx是减函数.由f(x)=sinωx(ω>0)在上单调递增,在上单调递减知,=,∴ω=.9.已知函数f(x)=3sin(ω>0)和g(x)=3cos(2x+φ)的图象的对称中心完全相同,若x∈,则f(x)的取值范围是________.【答案】【解析】由两三角函数图象的对称中心完全相同,可知两函数的周期相同,故ω=2,所以f(x)=3sin,当x∈时,-≤2x-≤,所以-≤sin≤1,故f(x)∈.10.已知函数f(x)=cos,其中x∈m∈R且m>,若f(x)的值域是,则m的最大值是________.【答案】【解析】由x∈,可知≤3x+≤3m+,∵f=cos=-,且f=cosπ=-1,∴要使f(x)的值域是,需要π≤3m+≤,解得≤m≤,即m的最大值是.二、解答题11.已知函数f(x)=sin(ωx+φ)的最小正周期为π.(1)求当f(x)为偶函数时φ的值;(2)若f(x)的图象过点,求f(x)的单调递增区间.∴f(x)的单调递增区间为,k∈Z.12.已知函数f(x)=a+b.(1)若a=-1,求函数f(x)的单调增区间;(2)若x∈[0,π]时,函数f(x)的值域是[5,8],求a,b的值.23

1、当您付费下载文档后,您只拥有了使用权限,并不意味着购买了版权,文档只能用于自身使用,不得用于其他商业用途(如 [转卖]进行直接盈利或[编辑后售卖]进行间接盈利)。
2、本站所有内容均由合作方或网友上传,本站不对文档的完整性、权威性及其观点立场正确性做任何保证或承诺!文档内容仅供研究参考,付费前请自行鉴别。
3、如文档内容存在违规,或者侵犯商业秘密、侵犯著作权等,请点击“违规举报”。

碎片内容

(江苏版)高考数学一轮复习 专题4.4 三角函数图像与性质(测)-江苏版高三全册数学试题

您可能关注的文档

确认删除?
VIP
微信客服
  • 扫码咨询
会员Q群
  • 会员专属群点击这里加入QQ群
客服邮箱
回到顶部