电脑桌面
添加小米粒文库到电脑桌面
安装后可以在桌面快捷访问

二次根式综合提高VIP免费

二次根式综合提高_第1页
1/5
二次根式综合提高_第2页
2/5
二次根式综合提高_第3页
3/5
二次根式综合提高1.下列二次根式中,是最简二次根式的是()A.B.C.D.2.下列二次根式中,的取值范围是的是()A.B.C.D.3.若2(21)12aa,则()A.<12B.≤12C.>12D.≥124.已知x=,y=,则x2+xy+y2的值为()A.2B.4C.5D.75.下列二次根式,不能与合并的是()A.B.C.D.6.化简的结果是()A.B.C.D.7.若=-3,则估计的值所在的范围是()A.2<<3B.1<<2C.3<<4D.4<<58.已知,则的取值范围是()A.B.C.D.9.计算1333的结果为()A.3B.9C.1D.3310.已知3()(221)3m,则有()A.5<m<6B.4<m<5C.-5<m<-4D.-6<m<-511.如果ab>0,a+b<0,那么下面各式:①aabb,②1abba,③aabbb,其中正确的是()A.①②B.②③C.①③D.①②③12.计算(232)(323)的结果是()A.666B.6663626C.6D.666263613.实数a在数轴上的位置如图所示,则22(4)(11)aa化简后为()A.7B.-7C.2a-15D.无法确定14.若的整数部分是,小数部分是,那么2a+b的值是()A.B.C.D.15.若y=++2,则=_____________.16.已知是整数,则正整数的最小值是.17.把的根外的因式移到根号内得.18.当1<x<4时,|x-4|+=________________.19.把根号外的因式移入根号内,结果化简为_________.21.已知a,b为有理数,m,n分别表示57的整数部分和小数部分,且21amnbn,则2ab.22.若两个连续整数满足,则的值是.23.若,则x的取值范围是.24..25.设m,x,y均为正整数,且,则x+y+m=.26.当x________时,式子有意义.27.已知0

1、当您付费下载文档后,您只拥有了使用权限,并不意味着购买了版权,文档只能用于自身使用,不得用于其他商业用途(如 [转卖]进行直接盈利或[编辑后售卖]进行间接盈利)。
2、本站所有内容均由合作方或网友上传,本站不对文档的完整性、权威性及其观点立场正确性做任何保证或承诺!文档内容仅供研究参考,付费前请自行鉴别。
3、如文档内容存在违规,或者侵犯商业秘密、侵犯著作权等,请点击“违规举报”。

碎片内容

二次根式综合提高

您可能关注的文档

确认删除?
微信客服
  • 扫码咨询
会员Q群
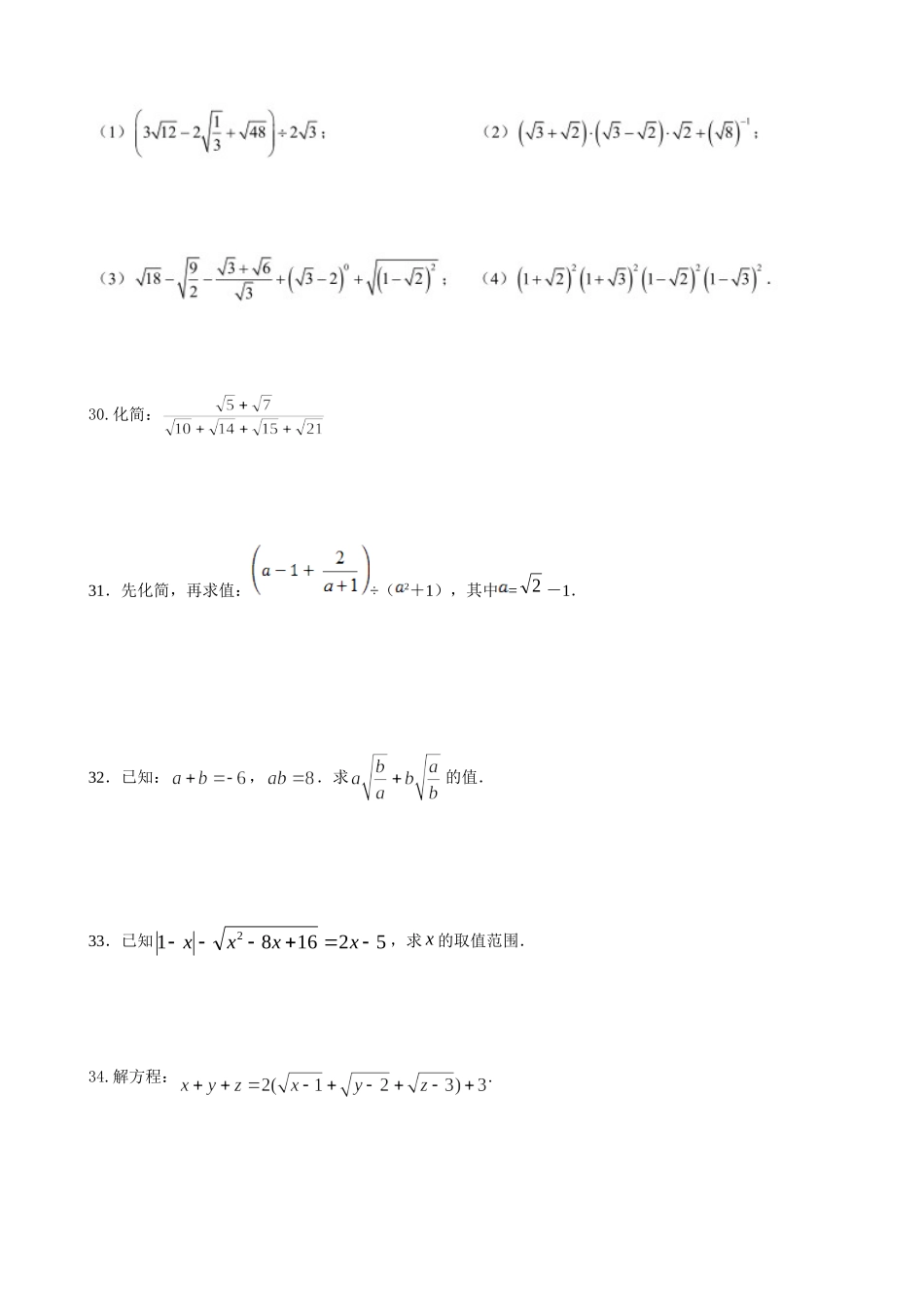
  • 会员专属群点击这里加入QQ群