电脑桌面
添加小米粒文库到电脑桌面
安装后可以在桌面快捷访问

一元二次方程练习及答案(配方法)VIP免费

一元二次方程练习及答案(配方法)_第1页
1/3
一元二次方程练习及答案(配方法)_第2页
2/3
一元二次方程练习及答案(配方法)_第3页
3/3
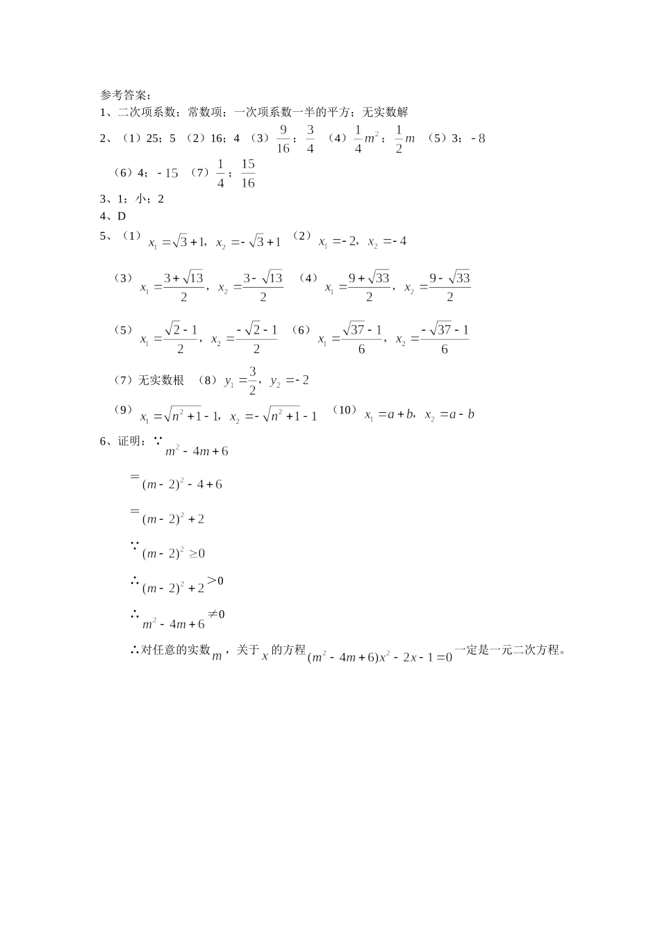
20132014学年槟榔中学九年级上学期22.2.1配方法1、配方法的步骤,先等式两边同除___________,再将含有未知数的项移到等号左边,将__________移到等号右边,等式两边同加____________________________,使等式左边配成完全平方,即的形式,再利用直接开平方法求解。若<0,则方程________。2、将下列各式进行配方(1)(2)(3)(4)(5)(6)(7)3、当时,代数式有最______值,这个值是________4、若要使方程的左边配成完全平方式,则方程两边都应加上()A.B.C.D.5、用配方法解下列方程(1)(2)(3)(4)(5)(6)(7)(8)*(9)*(10)(为常数)※6、试说明:对任意的实数,关于的方程一定是一元二次方程。参考答案:1、二次项系数;常数项;一次项系数一半的平方;无实数解2、(1)25;5(2)16;4(3);(4);(5)3;(6)4;(7);3、1;小;24、D5、(1)(2)(3)(4)(5)(6)(7)无实数根(8)(9)(10)6、证明:∵==∵∴>0∴≠0∴对任意的实数,关于的方程一定是一元二次方程。

1、当您付费下载文档后,您只拥有了使用权限,并不意味着购买了版权,文档只能用于自身使用,不得用于其他商业用途(如 [转卖]进行直接盈利或[编辑后售卖]进行间接盈利)。
2、本站所有内容均由合作方或网友上传,本站不对文档的完整性、权威性及其观点立场正确性做任何保证或承诺!文档内容仅供研究参考,付费前请自行鉴别。
3、如文档内容存在违规,或者侵犯商业秘密、侵犯著作权等,请点击“违规举报”。

碎片内容

一元二次方程练习及答案(配方法)

您可能关注的文档

确认删除?
VIP
微信客服
  • 扫码咨询
会员Q群
  • 会员专属群点击这里加入QQ群
客服邮箱
回到顶部