电脑桌面
添加小米粒文库到电脑桌面
安装后可以在桌面快捷访问

天津市高三数学 函数的图象单元测试 新人教A版试卷VIP免费

天津市高三数学 函数的图象单元测试 新人教A版试卷_第1页
1/8
天津市高三数学 函数的图象单元测试 新人教A版试卷_第2页
2/8
天津市高三数学 函数的图象单元测试 新人教A版试卷_第3页
3/8
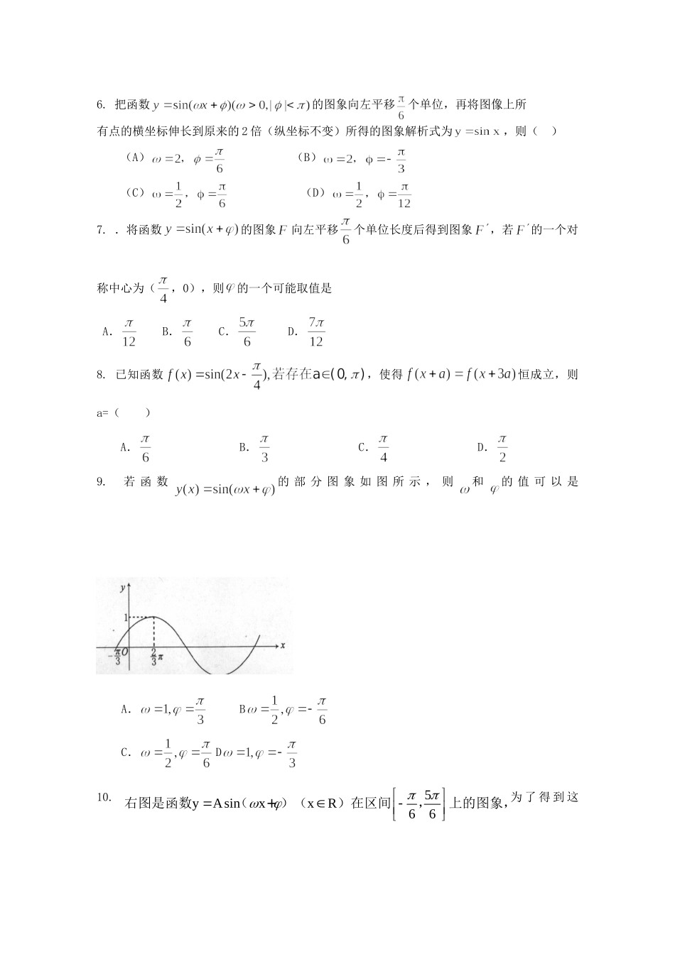
天津市新人教A版数学2012届高三单元测试20:三角函数的图象一、选择题(每题4分,总计40分)1.已知函数()sin()(0)4fxxxR,的最小正周期为,为了得到函数()cosgxx的图象,只要将()yfx的图象()A.向左平移8个单位长度B.向右平移8个单位长度C.向左平移4个单位长度D.向右平移4个单位长度2.函数的定义域是()A.B.C.D.3.函数)42cos(xy的一条对称轴方程是()A.2xB.4xC.8xD.x4.的值域是()A.B.C.D.5.已知图是函数π2sin()2yx的图象上的一段,则()A.10π116,B.10π116,C.π26,D.π26,6.把函数的图象向左平移个单位,再将图像上所有点的横坐标伸长到原来的2倍(纵坐标不变)所得的图象解析式为,则()(A)(B)(C)(D)7..将函数的图象向左平移个单位长度后得到图象,若的一个对称中心为(,0),则的一个可能取值是A.B.C.D.8.已知函数,使得恒成立,则a=()A.B.C.D.9.若函数的部分图象如图所示,则和的值可以是A.BC.D10.5yAsinxxR66右图是函数(+)()在区间-,上的图象,为了得到这个函数的图象,只要将ysinxxR()的图象上所有的点A.向左平移3个单位长度,再把所得各点的横坐标缩短到原来的12倍,纵坐标不变B.向左平移3个单位长度,再把所得各点的横坐标伸长到原来的2倍,纵坐标不变C.向左平移6个单位长度,再把所得各点的横坐标缩短到原来的12倍,纵坐标不变D.向左平移6个单位长度,再把所得各点的横坐标伸长到原来的2倍,纵坐标不变二、填空题(每题4分,总计16分)11.已知函数2π()cos212xfx,()sin2gxx.设0xx是函数()yfx图象的一条对称轴,则0()gx的值等于.12.已知函数2π()cos212xfx,()sin2gxx.设0xx是函数()yfx图象的一条对称轴,则0()gx的值等于.13.函数的最小正周期为;单调递减区间为14.已知函数的图像如图所示,则。三、解答题(共4个小题,总计44分)15.(本题满分10分)某简谐运动得到形如的关系式,其中:振幅为4,周期为6,初相为;(Ⅰ)写出这个函数的关系式;(Ⅱ)用五点作图法作出这个函数在一个周期内的图象.(Ⅲ)说明这个函数图像可由的图象经过怎样的变换得到.16.(本题满分10分)已知(为常数).(1)求的递增区间;(2)若时,的最大值为4,求的值;(3)求出使取最大值时的集合.17.(本小题满分12分)已知函数的图像经过点π,03和.(Ⅰ)求实数和的值;(Ⅱ)当为何值时,取得最大值.18.(12分)已知函数(Ⅰ)求函数的最小正周期和图象的对称轴方程;(Ⅱ)求函数在区间上的值域。答案一、选择题1.A2.D3.C4.A5.C6.B7.D8.D9.C10.A二、填空题11.32由题设知1π()[1cos()]26fxx.因为0xx是函数()yfx图象的一条对称轴,所以0π6xπk,即0π22π3xk(kZ).所以00π()sin2sin(2π)3gxxk=32.12.由题设知1π()[1cos()]26fxx.因为0xx是函数()yfx图象的一条对称轴,所以0π6xπk,即0π22π3xk(kZ).所以00π()sin2sin(2π)3gxxk=32.13.;14.0三、解答题15.解:(Ⅰ)这个函数的关系式为:;2分(Ⅱ)(一)列表:4分(二)描点;(三)连线;图象如图:8分(Ⅲ)把函数的图象向右平移个单位,再将所得图象上各点的横坐标变为原来的3倍(纵坐标不变),然后将所得图象上各点的纵坐标变为原来的4倍(横坐标不变)就可以得到得图象.10分16.解(1)当2分即时,单调递增,的递递增区间为;4分(2),,当时,有最大值为;8分(3)当R,则取最大值时,,当R,使取得最大值时的集合为.10分17.解:(Ⅰ)依题意,有π3103221,3π12fababfa;(Ⅱ)由(Ⅰ)知:.因此,当,即()时,取得最大值.18.解:(1)...3分...4分由函数图象的对称轴方程为......6分(2)因为在区间上单调递增,在区间上单调递减,......7分所以当时,取最大值1,又,当时,取最小值所以函数在区间上的值域为.......12分

1、当您付费下载文档后,您只拥有了使用权限,并不意味着购买了版权,文档只能用于自身使用,不得用于其他商业用途(如 [转卖]进行直接盈利或[编辑后售卖]进行间接盈利)。
2、本站所有内容均由合作方或网友上传,本站不对文档的完整性、权威性及其观点立场正确性做任何保证或承诺!文档内容仅供研究参考,付费前请自行鉴别。
3、如文档内容存在违规,或者侵犯商业秘密、侵犯著作权等,请点击“违规举报”。

碎片内容

天津市高三数学 函数的图象单元测试 新人教A版试卷

您可能关注的文档

;绿洲书城+ 关注
实名认证
内容提供者

从事历史教学,热爱教育,高度负责。

确认删除?
VIP
微信客服
  • 扫码咨询
会员Q群
  • 会员专属群点击这里加入QQ群
客服邮箱
回到顶部