电脑桌面
添加小米粒文库到电脑桌面
安装后可以在桌面快捷访问

安徽省合肥市高三最后一卷数学(文)试卷(PDF版)参考答案 安徽省合肥市高三数学最后一卷试卷 文(PDF) 安徽省合肥市高三数学最后一卷试卷 文(PDF)VIP免费

安徽省合肥市高三最后一卷数学(文)试卷(PDF版)参考答案 安徽省合肥市高三数学最后一卷试卷 文(PDF) 安徽省合肥市高三数学最后一卷试卷 文(PDF)_第1页
1/5
安徽省合肥市高三最后一卷数学(文)试卷(PDF版)参考答案 安徽省合肥市高三数学最后一卷试卷 文(PDF) 安徽省合肥市高三数学最后一卷试卷 文(PDF)_第2页
2/5
安徽省合肥市高三最后一卷数学(文)试卷(PDF版)参考答案 安徽省合肥市高三数学最后一卷试卷 文(PDF) 安徽省合肥市高三数学最后一卷试卷 文(PDF)_第3页
3/5
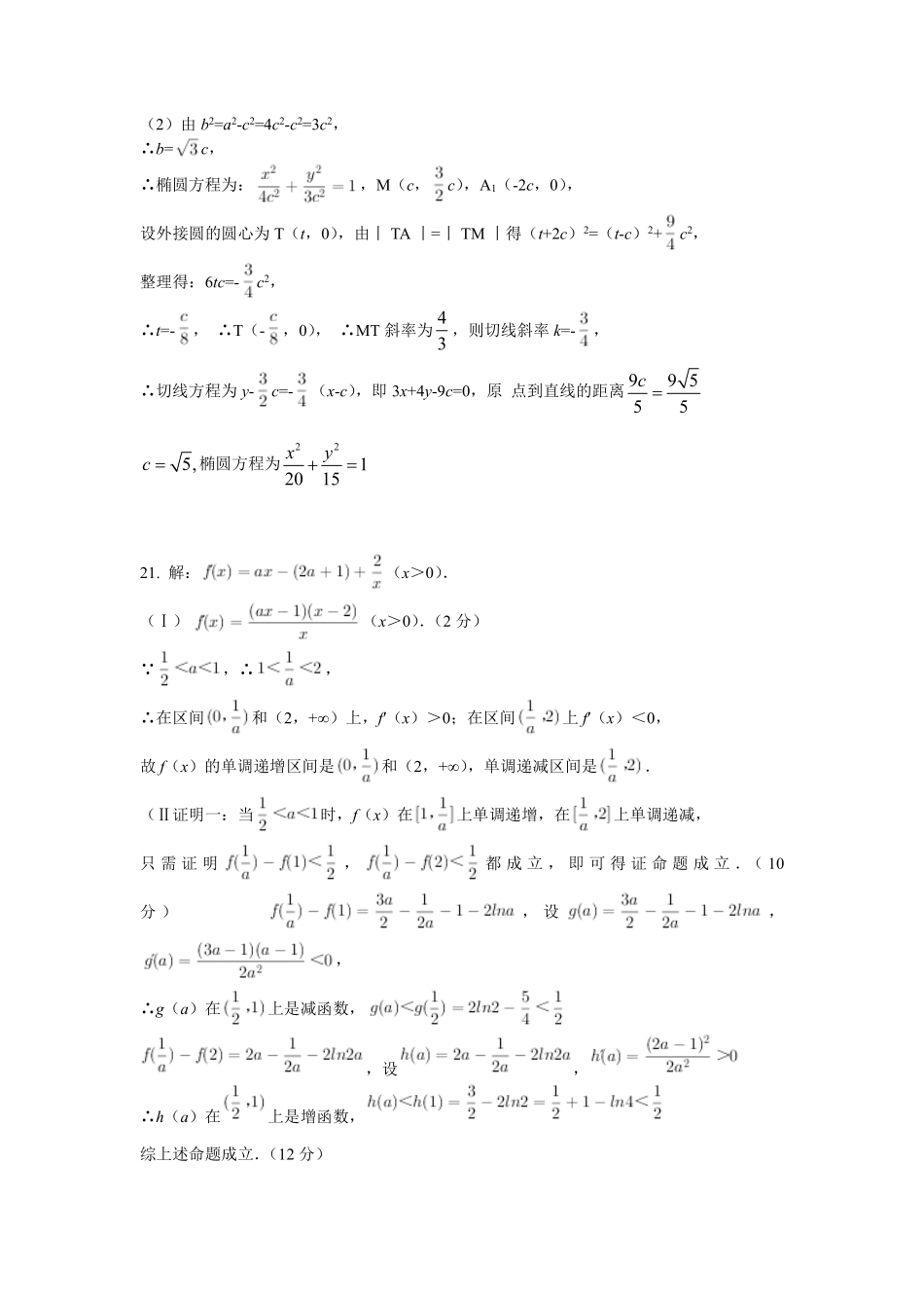
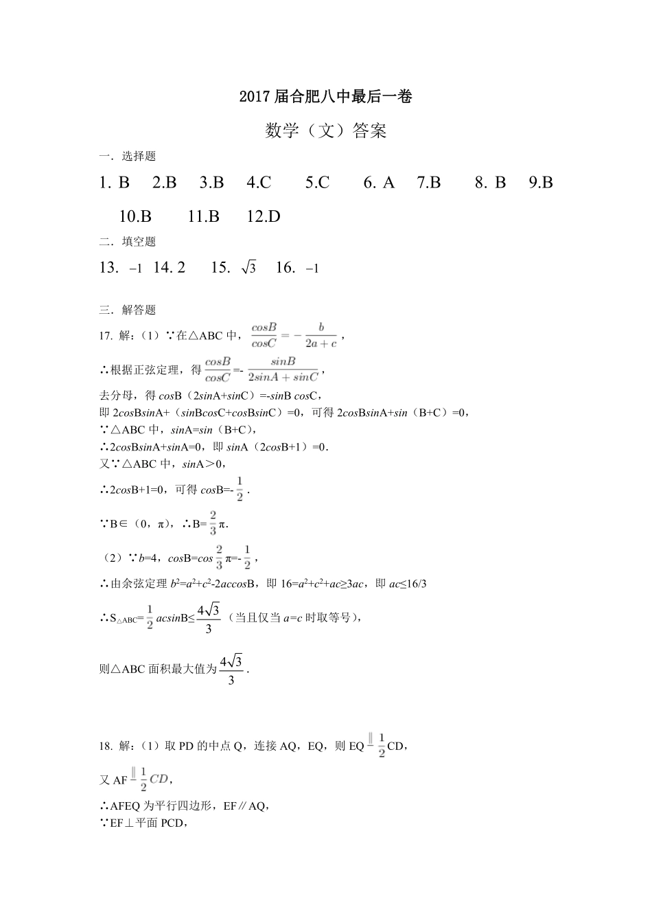
2017届合肥八中最后一卷数学(文)答案一.选择题1.B2.B3.B4.C5.C6.A7.B8.B9.B10.B11.B12.D二.填空题13.114.215.316.1三.解答题17.解:(1)∵在△ABC中,,∴根据正弦定理,得=-,去分母,得cosB(2sinA+sinC)=-sinBcosC,即2cosBsinA+(sinBcosC+cosBsinC)=0,可得2cosBsinA+sin(B+C)=0,∵△ABC中,sinA=sin(B+C),∴2cosBsinA+sinA=0,即sinA(2cosB+1)=0.又∵△ABC中,sinA>0,∴2cosB+1=0,可得cosB=-.∵B∈(0,π),∴B=π.(2)∵b=4,cosB=cosπ=-,∴由余弦定理b2=a2+c2-2accosB,即16=a2+c2+ac≥3ac,即ac≤16/3∴S△ABC=acsinB≤433(当且仅当a=c时取等号),则△ABC面积最大值为433.18.解:(1)取PD的中点Q,连接AQ,EQ,则EQCD,又AF,∴AFEQ为平行四边形,EF∥AQ,∵EF⊥平面PCD,∴AQ⊥平面PCD,∵PD⊂平面PCD,∴AQ⊥PD,∵Q是PD的中点,III(2)∵AQ⊥平面PCD,CD⊂平面PCD,∴AQ⊥CD,又AD⊥CD,又AQ∩AD=A,∴CD⊥平面PAD∴CD⊥PA,又BD⊥PA,CD∩BD=D,∴PA⊥平面ABCD.故三棱锥D-ACE的体积为23.19.解:(1)设抽到不相邻的两组数据为事件A,从5组数据中选取2组数据共有10种情况:(1,2)(1,3)(1,4)(1,5)(2,3)(2,4)(2,5)(3,4)(3,5)(4,5),其中数据为12月份的日期数.每种情况都是可能出现的,事件A包括的基本事件有6种.∴P(A)=.∴选取的2组数据恰好是不相邻2天数据的概率是(2)由数据,求得.由公式,求得b=∴y关于x的线性回归方程为x-3.(3)当x=10时,×10-3=22,|22-23|<2;同样当x=8时,×8-3=17,|17-16|<2;∴该研究所得到的回归方程是可靠的.20.解:由题意可知:设M(x,y),由,∴M(c,),∴===,∴a=2c,∴e==;(2)由b2=a2-c2=4c2-c2=3c2,∴b=c,∴椭圆方程为:,M(c,c),A1(-2c,0),设外接圆的圆心为T(t,0),由丨TA丨=丨TM丨得(t+2c)2=(t-c)2+c2,整理得:6tc=-c2,∴t=-,∴T(-,0),∴MT斜率为43,则切线斜率k=-,∴切线方程为y-c=-(x-c),即3x+4y-9c=0,原点到直线的距离99555c5,c椭圆方程为2212015xy21.解:(x>0).(Ⅰ)(x>0).(2分)∵,∴,∴在区间和(2,+∞)上,f′(x)>0;在区间上f′(x)<0,故f(x)的单调递增区间是和(2,+∞),单调递减区间是.(Ⅱ证明一:当时,f(x)在上单调递增,在上单调递减,只需证明,都成立,即可得证命题成立.(10分),设,,∴g(a)在上是减函数,,设,∴h(a)在上是增函数,综上述命题成立.(12分)证明二:当时,,x∈(1,2)f′(x)在上单调递减,在上单调递增,f′(1)=1-a>0,f′(2)=0,,∵,∴,.(10分)由导数的几何意义,有对任意x1,x2∈(1,2),x1≠x2.22.解:(1)由C1:,消去t得到曲线C1:(x+4)2+(y-3)2=1,C1表示圆心是(-4,3),半径是1的圆.曲线C2:+=1表示中心是坐标原点,焦点在x轴上,长半轴长是8,短半轴长是3的椭圆.其参数方程为(θ为参数)(2)依题设,当t=时,P(-4,4);且Q(8cosθ,3sinθ),故M(-2+4cosθ,2+sinθ)又C3为直线x-2y-7=0,M到C3的距离d=|4cosθ-3sinθ-13|=|5cos(θ+φ)-13|,从而当cosθ=,sinθ=-时,其中φ由sinφ=,cosφ=确定,cos(θ+φ)=1,d取得最小值.23.解:(1)x>=0(2)若关于x的不等式f(x)+4≥|1-2m|有解,即|x+2|-|x-1|+4≥|1-m|有解,故|x+2|-|x-1|+4的最大值大于或等于|1-m|.利用绝对值的意义可得|x+2|-|x-1|+4的最大值为3+4=7,∴|1-2m|≤7,故-7≤2m-1≤7,求得-6≤2m≤8,m的范围为[-3,4].

1、当您付费下载文档后,您只拥有了使用权限,并不意味着购买了版权,文档只能用于自身使用,不得用于其他商业用途(如 [转卖]进行直接盈利或[编辑后售卖]进行间接盈利)。
2、本站所有内容均由合作方或网友上传,本站不对文档的完整性、权威性及其观点立场正确性做任何保证或承诺!文档内容仅供研究参考,付费前请自行鉴别。
3、如文档内容存在违规,或者侵犯商业秘密、侵犯著作权等,请点击“违规举报”。

碎片内容

安徽省合肥市高三最后一卷数学(文)试卷(PDF版)参考答案 安徽省合肥市高三数学最后一卷试卷 文(PDF) 安徽省合肥市高三数学最后一卷试卷 文(PDF)

您可能关注的文档

;绿洲书城+ 关注
实名认证
内容提供者

从事历史教学,热爱教育,高度负责。

相关文档

确认删除?
VIP
微信客服
  • 扫码咨询
会员Q群
  • 会员专属群点击这里加入QQ群
客服邮箱
回到顶部