电脑桌面
添加小米粒文库到电脑桌面
安装后可以在桌面快捷访问

九年级数学基本运算之数的运算一含答案VIP免费

九年级数学基本运算之数的运算一含答案_第1页
1/13
九年级数学基本运算之数的运算一含答案_第2页
2/13
九年级数学基本运算之数的运算一含答案_第3页
3/13
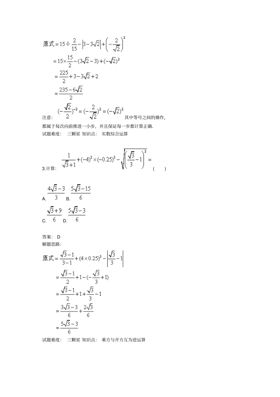
学生做题前请先回答以下问题问题1:结合初中阶段计算知识图,梳理计算相关的知识,并回答下列问题:①数与式的运算包括实数运算,整式运算,分式运算.实数运算包括有理数的运算和无理数的运算,在进行实数的运算时需要依据法则和运算顺序进行运算,有时也可以通过运用运算律简化运算.实数的运算顺序是:________________________________________________;无理数运算主要是指二次根式的运算,首先算乘除化为_____________,再合并____________进行加减运算.②解方程(组)依据的是_____________,转化为___________求解.解多元方程组的基本思路:通过消元转化为_______________求解,消元的两种手段是_________和__________;解高次方程的基本思路:通过降次转化为____________求解;分式方程需要通过__________转化为整式方程求解,结果必须要__________.③不等式(组)依据的是______________,转化为____________求解.多元可以通过_______转化为一元一次不等式求解;高次可以通过________转化为一元一次不等式求解,比如求满足的的范围可以通过降次转化为进而转化为求方程组的解集;有时也可以通过_______的思想进行求解.问题2:基本运算操作规程是什么?问题3:乘方运算一般分几步?怎么操作?问题4:计算中常用到哪些角的三角函数值?请背默.基本运算之数的运算(一)一、单选题(共12道,每道8分)1.计算:()A.B.C.D.答案:A解题思路:试题难度:三颗星知识点:负指数幂2.计算:()A.B.C.D.答案:A解题思路:注意:其中等号之间的操作,都属于每次向前推进一小步,并且保证每一步都计算正确.试题难度:三颗星知识点:实数综合运算3.计算:()A.B.C.D.答案:D解题思路:试题难度:三颗星知识点:乘方与开方互为逆运算4.计算:()A.6B.C.0D.答案:B解题思路:注意:需要熟记常见的三角函数值,确保正确;如果有遗忘可以根据定义进行推导.演草纸批改示范:上述案例中有以下不完善的地方(具体见红笔批改):1.计算先要观察结构,划部分;观察式子结构特征,运用运算法则,简化运算;2.计算每次要推进一点点,不能多步合成一步增加思维负担,需要按照规范的流程操作.优秀演草纸示范:试题难度:三颗星知识点:去绝对值5.计算:()A.B.18C.37D.33答案:D解题思路:试题难度:三颗星知识点:负指数幂6.计算:()A.B.C.D.答案:B解题思路:试题难度:三颗星知识点:实数的混合运算7.计算:=()A.0B.C.D.答案:D解题思路:试题难度:三颗星知识点:实数的混合运算8.计算:()A.B.C.D.答案:B解题思路:试题难度:三颗星知识点:去绝对值9.计算:()A.B.C.D.答案:A解题思路:试题难度:三颗星知识点:实数综合运算10.计算:=()A.B.C.D.答案:A解题思路:试题难度:三颗星知识点:实数的混合运算11.计算:()A.B.C.D.答案:C解题思路:试题难度:三颗星知识点:零指数幂12.计算:=()A.B.C.D.答案:A解题思路:演草纸批改示范:上述案例中有以下不完善的地方:1.倒数第二步是计算过程中比较关键的一步,需要按照操作,每次推进一点点,确保结果正确;2.涉及到符号处理的乘方运算,需要分步处理,不跳步.优秀演草示范:想一想:1.基本运算的操作规程是什么?2.依据基本运算的操作规程和对比演草纸的批改示范和优秀演草纸示范的收获,举例说明计算中常见重难点、易错点怎么操作?答案:1.看结构、分部分;依法则,不跳步;警异常,巧检验.2.计算部分的易错点部分示例如下:①每一部分都需要依法则,不跳步:;②幂的运算需要分步运算,先处理符号,再进行计算:;③分母有理化之后分母不一定是1,操作的时候需要每步推进一点点:;④类似于先平方再开方的运算,先化成绝对值的形式,再根据去绝对值的操作进行计算:.⑤计算的操作需要注意观察特征,根据特征也选择合适的方法,估计工作量:;.试题难度:三颗星知识点:实数的混合运算

1、当您付费下载文档后,您只拥有了使用权限,并不意味着购买了版权,文档只能用于自身使用,不得用于其他商业用途(如 [转卖]进行直接盈利或[编辑后售卖]进行间接盈利)。
2、本站所有内容均由合作方或网友上传,本站不对文档的完整性、权威性及其观点立场正确性做任何保证或承诺!文档内容仅供研究参考,付费前请自行鉴别。
3、如文档内容存在违规,或者侵犯商业秘密、侵犯著作权等,请点击“违规举报”。

碎片内容

九年级数学基本运算之数的运算一含答案

文库当当响+ 关注
实名认证
内容提供者

该用户很懒,什么也没介绍

相关文档

确认删除?
VIP
微信客服
  • 扫码咨询
会员Q群
  • 会员专属群点击这里加入QQ群
客服邮箱
回到顶部