电脑桌面
添加小米粒文库到电脑桌面
安装后可以在桌面快捷访问

南校区届高三数学仿真模拟试卷 文VIP免费

南校区届高三数学仿真模拟试卷 文_第1页
1/4
南校区届高三数学仿真模拟试卷 文_第2页
2/4
南校区届高三数学仿真模拟试卷 文_第3页
3/4
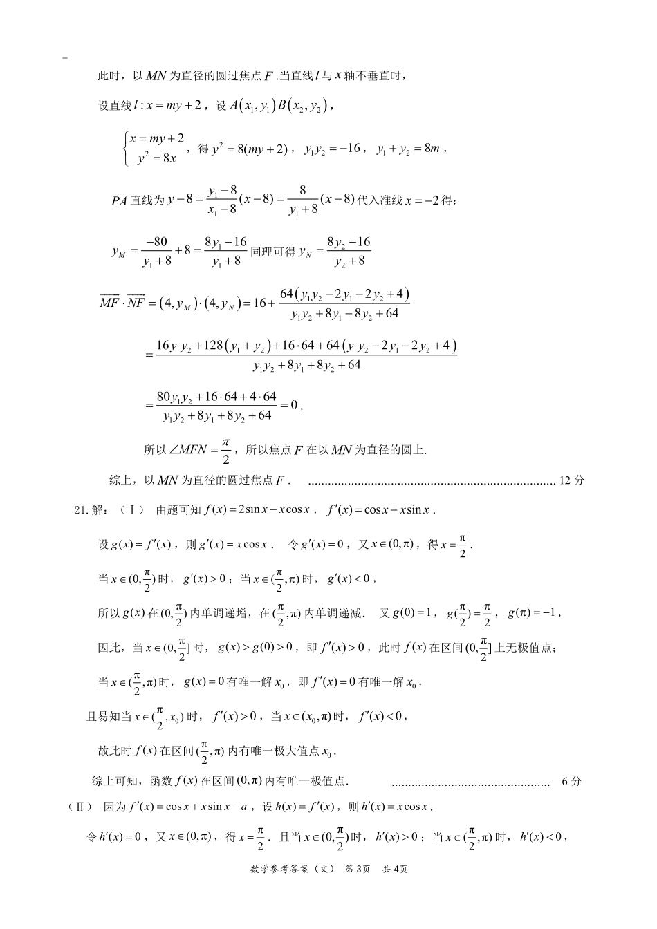
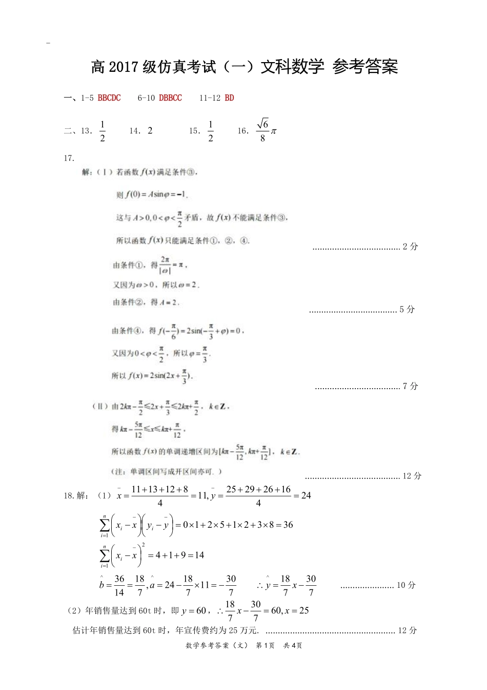
数学参考答案(文)第1页共4页高2017级仿真考试(一)文科数学参考答案一、1-5BBCDC6-10DBBCC11-12BD二、13.1214.215.1216.6817.....................................2分....................................5分...................................7分.......................................12分18.解:(1)24416262925,1148121311yx149143683215210121niiniiixxyyxx7301171824,7181436^^ab730718^xy......................10分(2)年销售量达到60t时,即60y,25,60730718xx估计年销售量达到60t时,年宣传费约为25万元......................................................12分数学参考答案(文)第2页共4页19.(Ⅰ)取SA的中点F,连接EF,因为E是SB中点,所以∥EFAB,且2ABEF,...........................................................1分又因为∥ABCD,2ABCD,所以∥EFDC,EFDC,....2分即四边形EFDC是平行四边形,所以∥ECFD,...........4分又因为EC平面SAD,FD平面SAD,所以∥CE平面SAD;.................................................5分(Ⅱ)取AD中点G,连接SG,因为SAD是正三角形,所以SGAD,.................................................6分因为平面SAD平面ABCD,且交线为AD,所以SG平面ABCD,..................7分因为ABAD,所以AB平面SAD,所以ABSA,..................................................................................................8分故224SASBAB,23SG,因为E是SB中点,所以点E到平面ABCD的距离等于12SG,...................................9分所以多面体SACE的体积为:SACESABCDSACDEABCVVVV....................................................................10分11113332ABCDACDABCSSGSSGSSG.......................................11分124111234424432222833.................................................................................................12分20.解:(1),AB到准线的距离之和等于到焦点的距离之和,即为||AB,||AB最小为通径,所以28p,解得4p,所以抛物线方程为28yx...................4分(2)抛物线焦点2,0F,准线方程:2x,由P点纵坐标为2p,得(8,8)P,当直线l与x轴垂直时,直线方程为2x,此时,2,4A,2,4B,直线PA:2833yx,直线PB:28yx,所以,42,3M,2,12N,所以,圆心坐标为162,3,半径203r,焦点到圆心的距离256201693dr,数学参考答案(文)第3页共4页此时,以MN为直径的圆过焦点F.当直线l与x轴不垂直时,设直线:2lxmy,设1122,,AxyBxy,228xmyyx,得28(2)ymy,1216yy,128yym,PA直线为111888(8)(8)88yyxxxy代入准线2x得:11180816888Myyyy同理可得228168Nyyy12121212642244,4,168864MNyyyyMFNFyyyyyy121212121212161281664642248864yyyyyyyyyyyy12121280166446408864yyyyyy,所以2MFN,所以焦点F在以MN为直径的圆上.综上,以MN为直径的圆过焦点F............................................................................12分21.解:(Ⅰ)由题可知()2sincosfxxxx,()cossinfxxxx.设()()gxfx,则()cosgxxx.令()0gx,又)π(0,x,得2πx.当(0,)2πx时,()0gx;当π(,π)2x时,()0gx,所以()gx在π(0,)2内单调递增,在π(,π)2内单调递减.又(0)1g,ππ()22g,(π)1g,因此,当π(0,]2x时,()(0)0gxg,即()0fx,此时()fx在区间π(0,]2上无极值点;当π(,π...

1、当您付费下载文档后,您只拥有了使用权限,并不意味着购买了版权,文档只能用于自身使用,不得用于其他商业用途(如 [转卖]进行直接盈利或[编辑后售卖]进行间接盈利)。
2、本站所有内容均由合作方或网友上传,本站不对文档的完整性、权威性及其观点立场正确性做任何保证或承诺!文档内容仅供研究参考,付费前请自行鉴别。
3、如文档内容存在违规,或者侵犯商业秘密、侵犯著作权等,请点击“违规举报”。

碎片内容

南校区届高三数学仿真模拟试卷 文

您可能关注的文档

海博书城+ 关注
实名认证
内容提供者

从事历史教学,热爱教育,高度负责。

相关文档

确认删除?
VIP
微信客服
  • 扫码咨询
会员Q群
  • 会员专属群点击这里加入QQ群
客服邮箱
回到顶部