电脑桌面
添加小米粒文库到电脑桌面
安装后可以在桌面快捷访问

人教2017年七年级数学下册一元一次不等式解法练习题VIP免费

人教2017年七年级数学下册一元一次不等式解法练习题_第1页
1/6
人教2017年七年级数学下册一元一次不等式解法练习题_第2页
2/6
人教2017年七年级数学下册一元一次不等式解法练习题_第3页
3/6
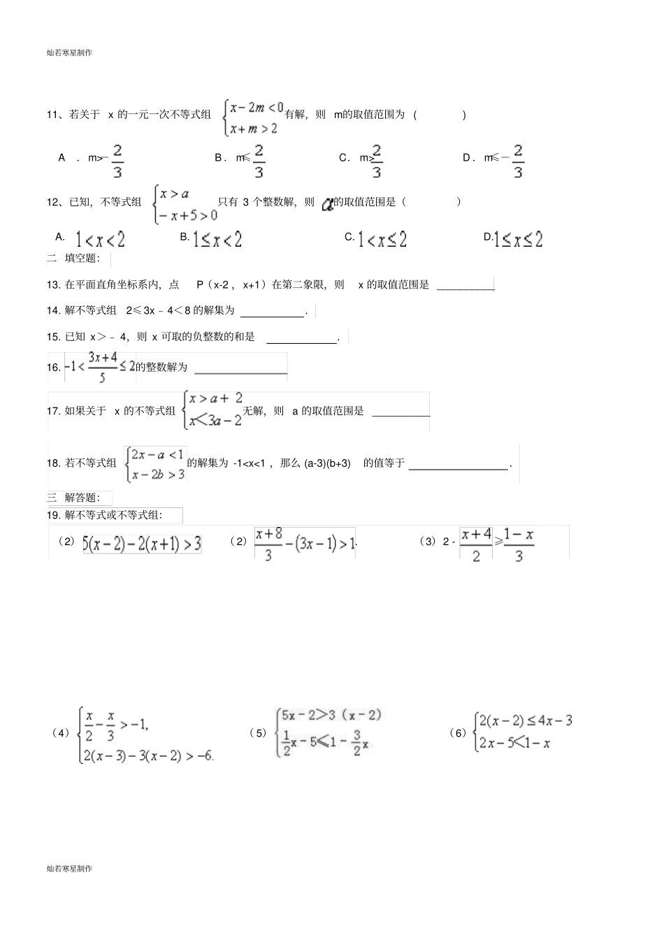
灿若寒星制作灿若寒星制作2017年七年级数学下册一元一次不等式解法练习题一选择题:1、已知a-B.m≤C.m>D.m≤-12、已知,不等式组只有3个整数解,则的取值范围是()A.B.C.D.二填空题:13.在平面直角坐标系内,点P(x-2,x+1)在第二象限,则x的取值范围是__________14.解不等式组2≤3x﹣4<8的解集为.15.已知x>﹣4,则x可取的负整数的和是.16.的整数解为17.如果关于x的不等式组无解,则a的取值范围是__________18.若不等式组的解集为-15;(2)x<1;(3)x≤-2;(4)-6

1、当您付费下载文档后,您只拥有了使用权限,并不意味着购买了版权,文档只能用于自身使用,不得用于其他商业用途(如 [转卖]进行直接盈利或[编辑后售卖]进行间接盈利)。
2、本站所有内容均由合作方或网友上传,本站不对文档的完整性、权威性及其观点立场正确性做任何保证或承诺!文档内容仅供研究参考,付费前请自行鉴别。
3、如文档内容存在违规,或者侵犯商业秘密、侵犯著作权等,请点击“违规举报”。

碎片内容

人教2017年七年级数学下册一元一次不等式解法练习题

爱的疯狂+ 关注
实名认证
内容提供者

该用户很懒,什么也没介绍

确认删除?
微信客服
  • 扫码咨询
会员Q群
  • 会员专属群点击这里加入QQ群