电脑桌面
添加小米粒文库到电脑桌面
安装后可以在桌面快捷访问

人教版七年级实数混合运算强化训练VIP免费

人教版七年级实数混合运算强化训练_第1页
1/2
人教版七年级实数混合运算强化训练_第2页
2/2
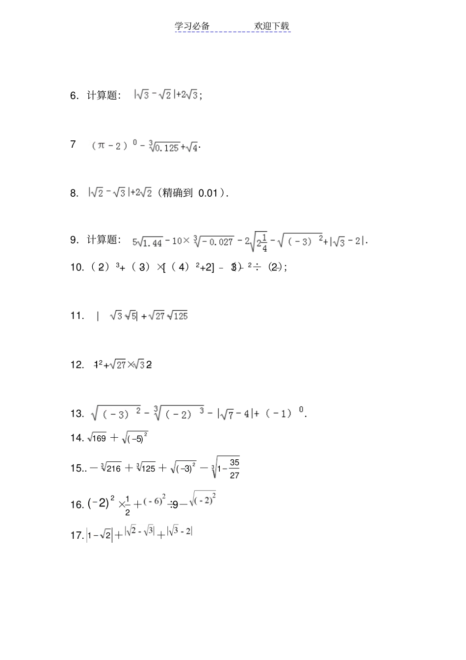
学习必备欢迎下载人教版七年级第六章实数混合运算强化训练(辛苦整理,欢迎下载)(1)2+32—52(2)6(61-6)(3)|23|+|23|+2)2((4)41)2(823(5)12-21-231(6)289008.0)31()53(310;(7)921)4()4()2(278233233.(8)2+32—52(9)7(717)(10)|23|+|23|-|12|1.计算题:|﹣2|﹣(1+)0+.2.计算题:﹣12009+4×(﹣3)2+(﹣6)÷(﹣2)3.4.||﹣.5.计算题:.学习必备欢迎下载6.计算题:;7.8.(精确到0.01).9.计算题:.10.(﹣2)3+(﹣3)×[(﹣4)2+2]﹣(﹣3)2÷(﹣2);11.|﹣|+﹣12.﹣12+×﹣213..14.169+2)5(15..-3216+3125+2)3(-32735116.2)2(×21+÷9-17.21++

1、当您付费下载文档后,您只拥有了使用权限,并不意味着购买了版权,文档只能用于自身使用,不得用于其他商业用途(如 [转卖]进行直接盈利或[编辑后售卖]进行间接盈利)。
2、本站所有内容均由合作方或网友上传,本站不对文档的完整性、权威性及其观点立场正确性做任何保证或承诺!文档内容仅供研究参考,付费前请自行鉴别。
3、如文档内容存在违规,或者侵犯商业秘密、侵犯著作权等,请点击“违规举报”。

碎片内容

人教版七年级实数混合运算强化训练

爱的疯狂+ 关注
实名认证
内容提供者

该用户很懒,什么也没介绍

相关文档

确认删除?
VIP
微信客服
  • 扫码咨询
会员Q群
  • 会员专属群点击这里加入QQ群
客服邮箱
回到顶部