电脑桌面
添加小米粒文库到电脑桌面
安装后可以在桌面快捷访问

作业册2008(上4)VIP免费

作业册2008(上4)_第1页
1/16
作业册2008(上4)_第2页
2/16
作业册2008(上4)_第3页
3/16
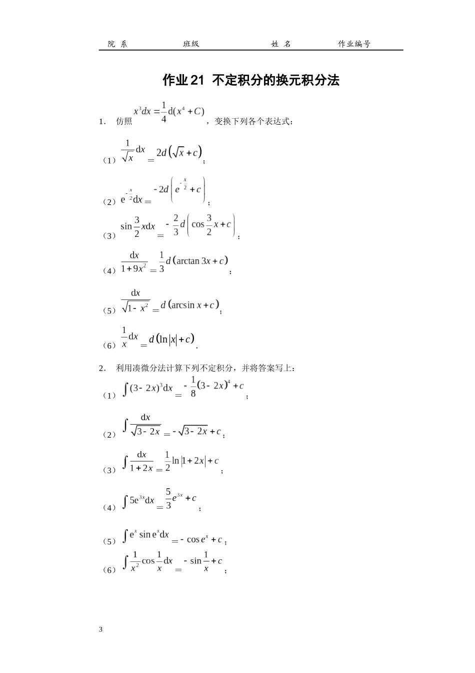
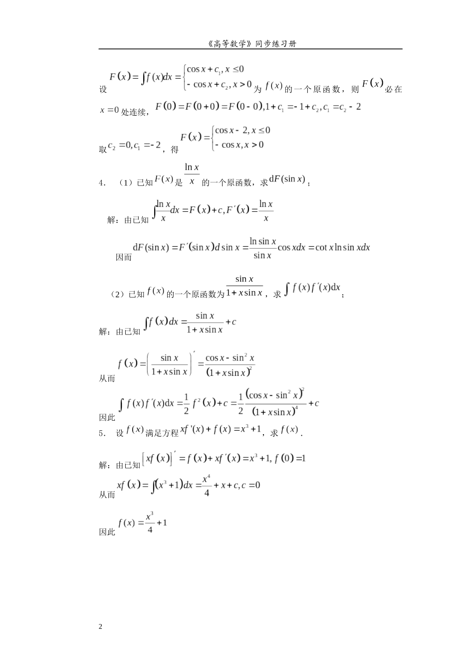
院系班级姓名作业编号第四章不定积分作业20不定积分的概念与性质1.填空题(1)设连续,则=;=;=;=.(2)设是的两个不同的原函数,且,则=.2.演算下列不定积分,并填上答案:(1)=;(2)=;(3)=;(4)=;(5)=;(6)=;(7)=;(8)=.3.设,试求出的一个原函数.解:1《高等数学》同步练习册设为的一个原函数,则必在处连续,取,得4.(1)已知是的一个原函数,求;解:由已知因而(2)已知的一个原函数为,求;解:由已知从而因此5.设满足方程,求.解:由已知从而因此2院系班级姓名作业编号作业21不定积分的换元积分法1.仿照,变换下列各个表达式:(1)=;(2)=;(3)=;(4)=;(5)=;(6)=.2.利用凑微分法计算下列不定积分,并将答案写上:(1)=;(2)=;(3)=;(4)=;(5)=;(6)=;3《高等数学》同步练习册(7)=;(8)=;(9)=;(10)=.3.计算下列不定积分:(1);解:原式=(2);解:原式=(3);;解:原式=(4);解:原式=(5);解:原式=(6);4院系班级姓名作业编号解:原式=(7);解:原式=(8);解:原式=(9);解:原式=(10).解:原式=4.计算下列不定积分(1);解:原式综合得,原式=(2);5《高等数学》同步练习册解:当,令原式当,可令综合得到结果,表达式一样。(3);解:令,则原式=(4);解:令,原式=(5);解:令,原式=(6);解:令,则6院系班级姓名作业编号原式=(7);解:令时,原式=的过程要稍作修改(8).解:令,解:原式=7《高等数学》同步练习册作业22不定积分的分部积分法1.求下列不定积分(1);解:原式=(2);解:原式=(3);解:令,原式=(4);解:原式=(5);解:令8院系班级姓名作业编号原式=(6);解:原式=(7);解:原式=(8);解:令原式=(9);解:原式=令]9《高等数学》同步练习册原式=(10);解:原式=令原式2.已知的一个原函数是,求.解:由已知3.设,求.解:由已知可令,则10院系班级姓名作业编号作业23有理函数的不定积分求下列不定积分:(1);解:原式=(2);解:原式=(3);解:原式=(4);解:11《高等数学》同步练习册原式=(5);解:原式=(6);解:令,则原式=(7);解:令,则原式=12院系班级姓名作业编号(8);解:原式=(9);解:设,则(10).解:原式=13《高等数学》同步练习册第四章《不定积分学》测试题1.计算.解:原式=而故,原式=2.计算.解:原式=3.计算.解:原式=4.已知,且,求.解:令,则又,即因此14院系班级姓名作业编号5.设,求.解:故在上存在原函数由从而6.试确定系数,使下式成立:.解:两边求导,得:即7.设的一个原函数是,求.解:由已知原式=15《高等数学》同步练习册8.设与互为反函数,连续,且,证明.证:由已知从而右边=左边即成立16

1、当您付费下载文档后,您只拥有了使用权限,并不意味着购买了版权,文档只能用于自身使用,不得用于其他商业用途(如 [转卖]进行直接盈利或[编辑后售卖]进行间接盈利)。
2、本站所有内容均由合作方或网友上传,本站不对文档的完整性、权威性及其观点立场正确性做任何保证或承诺!文档内容仅供研究参考,付费前请自行鉴别。
3、如文档内容存在违规,或者侵犯商业秘密、侵犯著作权等,请点击“违规举报”。

碎片内容

作业册2008(上4)

您可能关注的文档

一米阳光+ 关注
实名认证
内容提供者

爱好英语教学和互联网行业,热爱教育事业,兢兢业业

相关标签

确认删除?
VIP
微信客服
  • 扫码咨询
会员Q群
  • 会员专属群点击这里加入QQ群
客服邮箱
回到顶部