电脑桌面
添加小米粒文库到电脑桌面
安装后可以在桌面快捷访问

圆锥曲线专题(点差法)VIP免费

圆锥曲线专题(点差法)_第1页
1/3
圆锥曲线专题(点差法)_第2页
2/3
圆锥曲线专题(点差法)_第3页
3/3
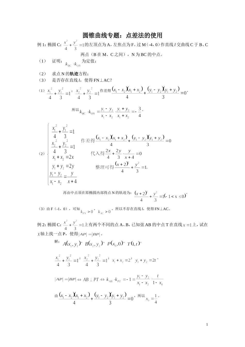
圆锥曲线专题:点差法的使用例1:椭圆C:的左顶点为A,左焦点为F。过M(-4,0)作直线l交曲线C于B、C两点(B在M、C之间),N为BC的中点。(1)证明:为定值;(2)求点N的轨迹方程;(3)是否存在直线l,使得FN⊥AC?(1);作差得,所以。(2)再由中点须在原椭圆内部得点N的轨迹为:。(3)由F(-1,0),可知,,所以不存在直线l,使得FN⊥AC。例2:椭圆C:上有两个不同的点A、B,已知弦AB的中点T在直线上,试在轴上找一点P,使得。解:、、、。;;;。由,所以。1例3:抛物线上两点A、B满足,其中P(1,2),求证:为定值。;作差得由得+。所以=-1。练习:1、椭圆的一条以M(1,1)为中点的弦AB所在直线的方程为x+4y=5。2、椭圆的过定点A(2,5)的弦的中点轨迹方程为x(x-2)+4y(y-5)=0(内)。3、双曲线的斜率为2的弦的中点轨迹方程为2y=3x(内)。4、椭圆上存在不同的两点A、B关于直线对称,则实数的取值范围是。5、双曲线2x2-3y2=6的一条不过原点的弦AB恰被直线y=2x平分,则。6、已知双曲线中心在原点且一个焦点为M、N两点,MN中点的横坐标为则此双曲线的方程是______。7、已知是双曲线上不同的三点,且连线经过坐标原点,若直线的斜率乘积,则该双曲线的离心率为_______。8、已知A、B是椭圆长轴的两个端点,M,N是椭圆上关于x轴对称的两点,直线AM,BN的斜率分别为k1,k2,且k1k2≠0,若|k1|+|k2|的最小值为1,则椭圆的离心率为_______。9、定长为3的线段AB的两端点A、B在上运动时,求AB中点M到y轴的最短距离,并求出点M的轨迹方程。2由代入得:化简可得:。10、已知点A(1,2)和抛物线上两点B、C,使得AB⊥BC,求点C的纵坐标的取值范围。由得。所以。3

1、当您付费下载文档后,您只拥有了使用权限,并不意味着购买了版权,文档只能用于自身使用,不得用于其他商业用途(如 [转卖]进行直接盈利或[编辑后售卖]进行间接盈利)。
2、本站所有内容均由合作方或网友上传,本站不对文档的完整性、权威性及其观点立场正确性做任何保证或承诺!文档内容仅供研究参考,付费前请自行鉴别。
3、如文档内容存在违规,或者侵犯商业秘密、侵犯著作权等,请点击“违规举报”。

碎片内容

圆锥曲线专题(点差法)

您可能关注的文档

确认删除?
VIP
微信客服
  • 扫码咨询
会员Q群
  • 会员专属群点击这里加入QQ群
客服邮箱
回到顶部