电脑桌面
添加小米粒文库到电脑桌面
安装后可以在桌面快捷访问

通信原理 樊昌信曹丽娜 第六版 第六章 课后答案VIP免费

通信原理 樊昌信曹丽娜 第六版 第六章 课后答案_第1页
1/14
通信原理 樊昌信曹丽娜 第六版 第六章 课后答案_第2页
2/14
通信原理 樊昌信曹丽娜 第六版 第六章 课后答案_第3页
3/14
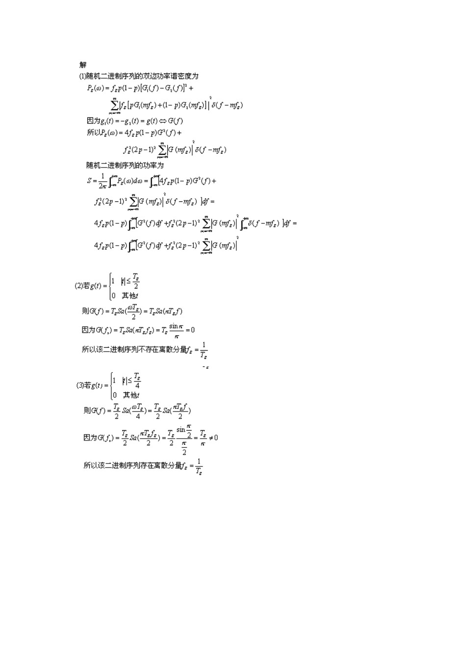
6—1解:单极性,双极性,单极性归零,双极性归零,二进制差分,四电平波形分别如下图a,b,c,d,e,f(此图仅作参考)6—2证明:6—36—4解:(1)由图P6-2可以写出故g(t)的傅里叶变换G(f)为6—5解:图形如6-18所示6—6解:(1)双极性信号的功率谱密度为设,则有将P=1/4,及代入表达式中,可得功率谱密度图略。(2)当m=1时,上式中的离散普所以能从该双极性信号中直接提取频率为的分量,其功率为6—7解:AMI码:+10-1+1000000000-10+1HDB3码:+10-1+1000+V-B00-V0+10-1AMI码形图如下:HDB3码波形图如下:6—8解:双向码:100110100101100110CIM码:110100110101000111双向码波形图如下:CIM码波形图如下:(图形仅供参考)6—9解:(1)令由图可得因为的傅里叶变换为所以,系统的传输函数为(2)基带系统的传输函数由发送滤波器,信道和接收器三部分组成,即因为,,所以故有6—10解:(1)由图可知系统传输函数为由可得根据傅里叶变换的对称性有=所以,该系统接收滤波器输出基本脉冲时间表示式为(2)根据奈奎斯特准则,当系统能实现无码间干扰传输时,应满足,当传码率时,即时此时系统不能实现无码间干扰传输。6—11解:根据奈奎斯特准则,当最高传码率时,能够实现无码间串扰传输的基带系统的总特性应满足,因此当时,基带系统的总特性应满足所以除c图外其他均不满足无码间串扰传输的条件。6—12解:6—13解:6—14解:6—15证明:可表示为其中,是高为1,宽为的门函数,其傅里叶反变换为因此,单位冲激响应=由上式结果可知,当t=nTs(n不等于0)时,h(nTs)=0,所以当用波特速率传送数据时,抽样时刻上不存在码间串扰。6—16证明:对于单极性基带信号,在一个码元持续时间内,抽样判决器对接受的合成波形x(t)在抽样时刻的取值为因为是均值为0,方差为的高斯噪声,所以当发送“1”时,A+的一维概率密度为而发送“0”时,的一维概率密度函数为令判决门限为,则发“1”错判为“0”的概率为发“0”错判为“1”的概率为发送“1”码和“0”码概率分别为P(1)和P(0),则系统总的误码率为令,则可求得最佳门限电平,即因为对上式移项取对数得最佳判决门限当p(1)=P(0)=1/2时此时系统误码率6—17解:(1)接收滤波器输入噪声双边功率谱密度为,则接受滤波器输入噪声双边功率谱密度为接受滤波器输入噪声功率为(2)系统总的误码率为在单极性波形情况下,和分别为其中为判决门限,则误码率为令,并考虑P(1)=P(0)=,可求得最佳判决门限即此时系统总误码率为6—18解:6—19解:6—20解:(1)的眼图如下(2)的眼图如下(3)比较:最佳抽样判决时刻即处即处判决门限电平00噪声容限值116—21解:由题意,理想低通滤波器的传输函数为对应的单位冲激响应为则系统单位冲击响应为对h(t)进行傅里叶变换,可得系统传输函数为所以6—22解:第一,四类部分响应信号的相关电平数为(2L-1);二进制时L=2,相关电平为3;四进制时L=4,相关电平为7;6—23解:第四类部分响应的预编码公式为包括方框图:6—24解:6—25解:根据式(C)和2N+1=3,可以列出矩阵方程将样值Xk代入,可得方程组解得=-0.1779=0.8897=0.2847然后通过计算得=0=1=0=0=-0.0356=0.0153=0.0285其余=0输入峰值失真为输出峰值失真为均衡后的峰值失真减少7.5倍。

1、当您付费下载文档后,您只拥有了使用权限,并不意味着购买了版权,文档只能用于自身使用,不得用于其他商业用途(如 [转卖]进行直接盈利或[编辑后售卖]进行间接盈利)。
2、本站所有内容均由合作方或网友上传,本站不对文档的完整性、权威性及其观点立场正确性做任何保证或承诺!文档内容仅供研究参考,付费前请自行鉴别。
3、如文档内容存在违规,或者侵犯商业秘密、侵犯著作权等,请点击“违规举报”。

碎片内容

通信原理 樊昌信曹丽娜 第六版 第六章 课后答案

知识面包店+ 关注
实名认证
内容提供者

热爱教学事业,对互联网知识分享很感兴趣

确认删除?
VIP
微信客服
  • 扫码咨询
会员Q群
  • 会员专属群点击这里加入QQ群
客服邮箱
回到顶部