电脑桌面
添加小米粒文库到电脑桌面
安装后可以在桌面快捷访问

高二数学 上学期曲线和方程求解轨迹方程常用方法在一道解几题中的体现VIP免费

高二数学 上学期曲线和方程求解轨迹方程常用方法在一道解几题中的体现_第1页
1/1
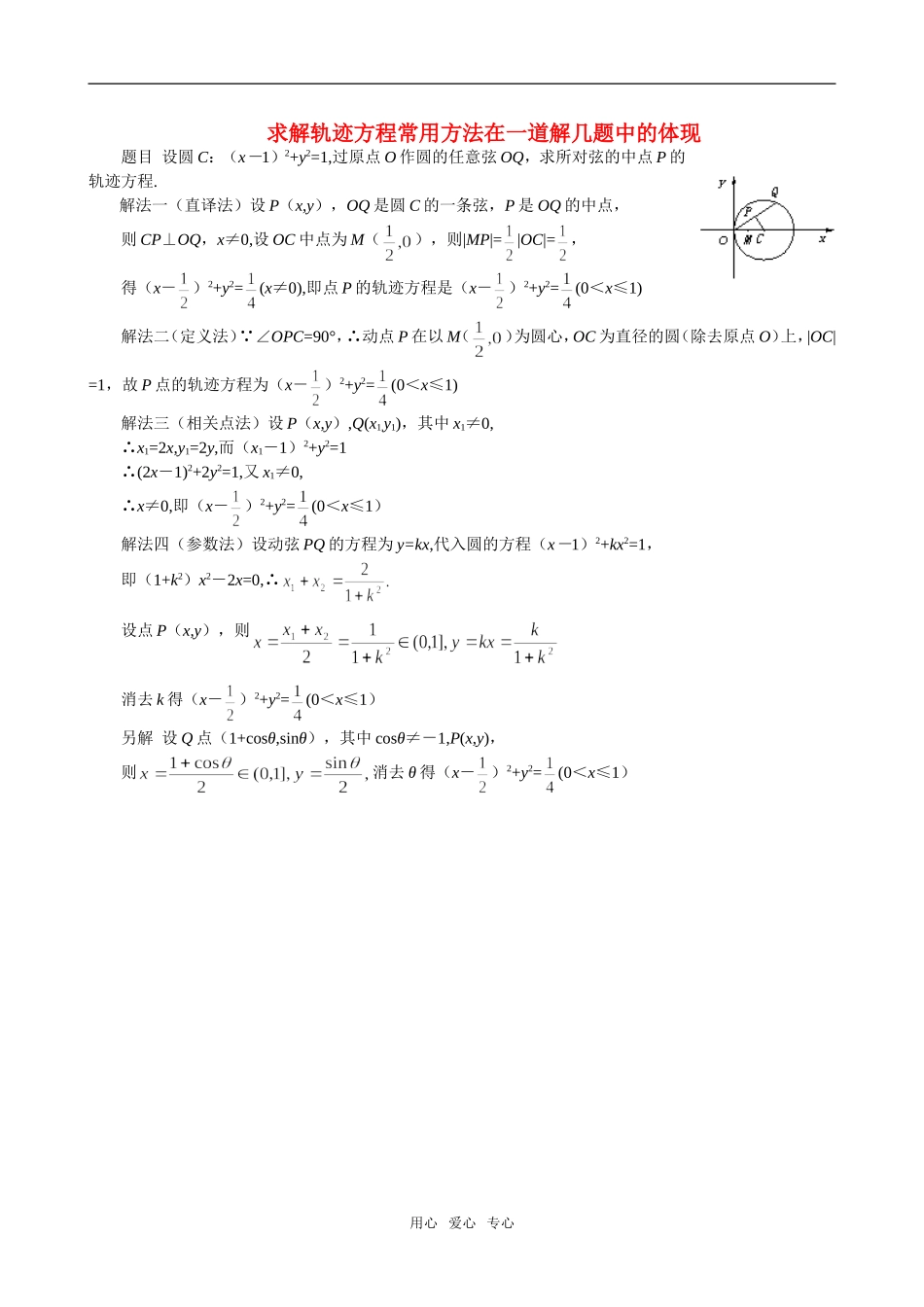
求解轨迹方程常用方法在一道解几题中的体现题目设圆C:(x-1)2+y2=1,过原点O作圆的任意弦OQ,求所对弦的中点P的轨迹方程.解法一(直译法)设P(x,y),OQ是圆C的一条弦,P是OQ的中点,则CP⊥OQ,x≠0,设OC中点为M(),则|MP|=|OC|=,得(x-)2+y2=(x≠0),即点P的轨迹方程是(x-)2+y2=(0<x≤1)解法二(定义法)∵∠OPC=90°,∴动点P在以M()为圆心,OC为直径的圆(除去原点O)上,|OC|=1,故P点的轨迹方程为(x-)2+y2=(0<x≤1)解法三(相关点法)设P(x,y),Q(x1,y1),其中x1≠0,∴x1=2x,y1=2y,而(x1-1)2+y2=1∴(2x-1)2+2y2=1,又x1≠0,∴x≠0,即(x-)2+y2=(0<x≤1)解法四(参数法)设动弦PQ的方程为y=kx,代入圆的方程(x-1)2+kx2=1,即(1+k2)x2-2x=0,∴设点P(x,y),则消去k得(x-)2+y2=(0<x≤1)另解设Q点(1+cosθ,sinθ),其中cosθ≠-1,P(x,y),则消去θ得(x-)2+y2=(0<x≤1)用心爱心专心

1、当您付费下载文档后,您只拥有了使用权限,并不意味着购买了版权,文档只能用于自身使用,不得用于其他商业用途(如 [转卖]进行直接盈利或[编辑后售卖]进行间接盈利)。
2、本站所有内容均由合作方或网友上传,本站不对文档的完整性、权威性及其观点立场正确性做任何保证或承诺!文档内容仅供研究参考,付费前请自行鉴别。
3、如文档内容存在违规,或者侵犯商业秘密、侵犯著作权等,请点击“违规举报”。

碎片内容

高二数学 上学期曲线和方程求解轨迹方程常用方法在一道解几题中的体现

远洋启航书店+ 关注
实名认证
内容提供者

从事历史教学,热爱教育,高度负责。

相关文档

确认删除?
VIP
微信客服
  • 扫码咨询
会员Q群
  • 会员专属群点击这里加入QQ群
客服邮箱
回到顶部