电脑桌面
添加小米粒文库到电脑桌面
安装后可以在桌面快捷访问

山东省高三数学强化训练(32) 新人教B版试卷VIP免费

山东省高三数学强化训练(32) 新人教B版试卷_第1页
1/3
山东省高三数学强化训练(32) 新人教B版试卷_第2页
2/3
山东省高三数学强化训练(32) 新人教B版试卷_第3页
3/3
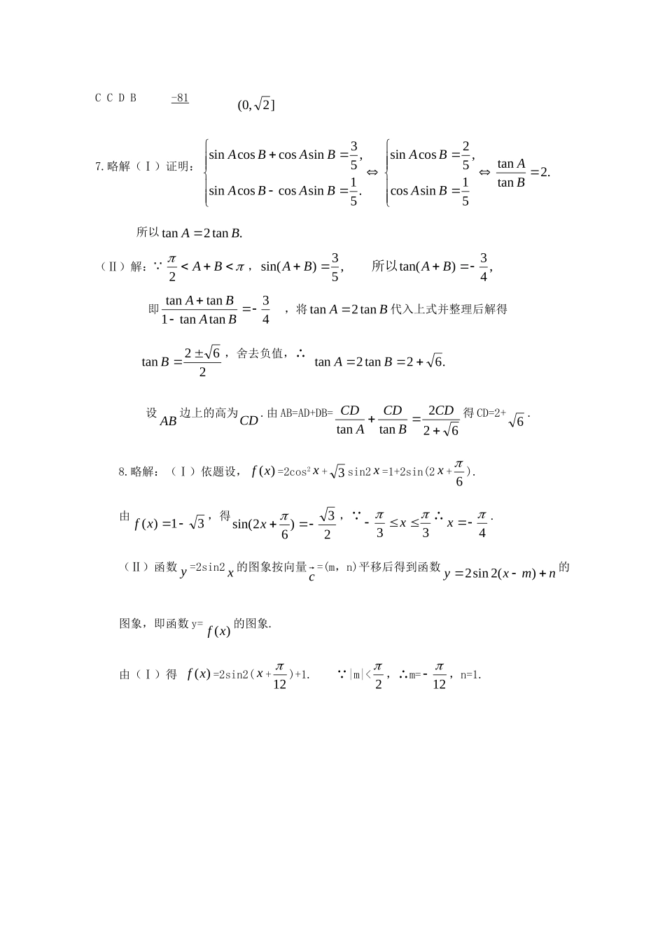
高三数学强化训练(32)1.若100a,则满足asin=0.5的角a的个数是(A)2(B)3(C)4(D)52.若)(xf是奇函数,且当x>0时,xxxfsin)(2,则当xR时,)(xf为(A)xxsin2(B)xxsin2(C)|x|xxsin(D)|x|xxsin3.函数)3sin()3cos(3)(xxxf是奇函数,则等于(A)k(B)6k(C)3k(D)3k4.如果圆222kyx至少覆盖函数kxxfsin3)(的一个最大值点和一个最小值点,则k的取值范围是(A)3||k(B)2||k(C)1||k(D)2||1k5.用][x表示不超过实数x的最大整数。则]2000[sin]30[sin]20[sin]10[sin=。6.设sincosx,且0cossin33,则x的取值范围是7.在锐角三角形ABC中,.51)sin(,53)sin(BABA(Ⅰ)求证BAtan2tan;(Ⅱ)设AB=3,求AB边上的高.8.设函数)(xf=a·b,其中向量a=(2cosx,1),b=(cosx,3sin2x),x∈R.(1)若31)(xf且x∈[-3,3],求x;(2)若函数y=2sin2x的图象按向量c=(m,n)(|m|<2)平移后得到函数y=)(xf的图象,求实数m、n的值.参考答案CCDB-81]2,0(7.略解(Ⅰ)证明:.2tantan51sincos,52cossin.51sincoscossin,53sincoscossinBABABABABABABA所以.tan2tanBA(Ⅱ)解:BA2,,43)tan(,53)sin(BABA所以即43tantan1tantanBABA,将BAtan2tan代入上式并整理后解得262tanB,舍去负值,∴.62tan2tanBA设AB边上的高为CD.由AB=AD+DB=622tantanCDBCDACD得CD=2+6.8.略解:(Ⅰ)依题设,)(xf=2cos2x+3sin2x=1+2sin(2x+6).由31)(xf,得23)62sin(x,∵33x∴4x.(Ⅱ)函数y=2sin2x的图象按向量c=(m,n)平移后得到函数nmxy)(2sin2的图象,即函数y=)(xf的图象.由(Ⅰ)得)(xf=2sin2(x+12)+1.∵|m|<2,∴m=12,n=1.

1、当您付费下载文档后,您只拥有了使用权限,并不意味着购买了版权,文档只能用于自身使用,不得用于其他商业用途(如 [转卖]进行直接盈利或[编辑后售卖]进行间接盈利)。
2、本站所有内容均由合作方或网友上传,本站不对文档的完整性、权威性及其观点立场正确性做任何保证或承诺!文档内容仅供研究参考,付费前请自行鉴别。
3、如文档内容存在违规,或者侵犯商业秘密、侵犯著作权等,请点击“违规举报”。

碎片内容

山东省高三数学强化训练(32) 新人教B版试卷

雨丝书吧+ 关注
实名认证
内容提供者

乐于和他人分享知识,从事历史教学,热爱教育,高度负责。

相关文档

确认删除?
VIP
微信客服
  • 扫码咨询
会员Q群
  • 会员专属群点击这里加入QQ群
客服邮箱
回到顶部