电脑桌面
添加小米粒文库到电脑桌面
安装后可以在桌面快捷访问

四川省成都市九校高二6月联考数学(文)答案 四川省成都市九校高二数学6月联考试卷 文(PDF) 四川省成都市九校高二数学6月联考试卷 文(PDF)VIP免费

四川省成都市九校高二6月联考数学(文)答案 四川省成都市九校高二数学6月联考试卷 文(PDF) 四川省成都市九校高二数学6月联考试卷 文(PDF)_第1页
1/4
四川省成都市九校高二6月联考数学(文)答案 四川省成都市九校高二数学6月联考试卷 文(PDF) 四川省成都市九校高二数学6月联考试卷 文(PDF)_第2页
2/4
四川省成都市九校高二6月联考数学(文)答案 四川省成都市九校高二数学6月联考试卷 文(PDF) 四川省成都市九校高二数学6月联考试卷 文(PDF)_第3页
3/4
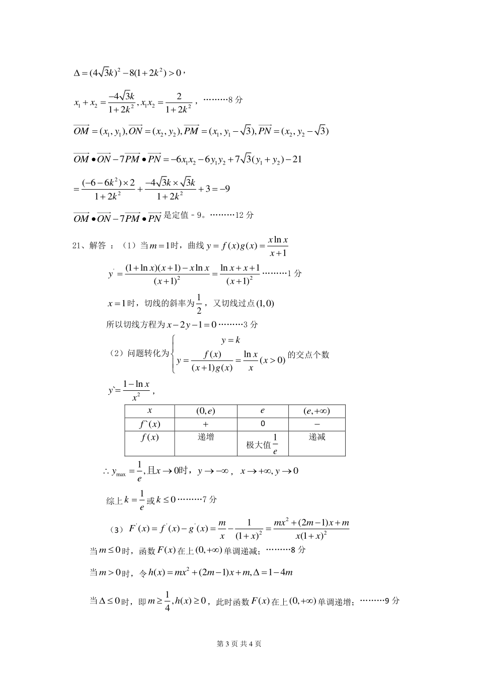
第1页共4页2016~2017学年度(下期)高2015级6月联考文科数学答案一、选择题DACACBBADBAC二、填空题13、31xxx或14、215、616、211tee17、解答:(1)因为等比数列235444(1)aaaa解得42a又因为114a3134118,2,224nnnaqqaa………6分(2)122log(16)log21nnnban,11111(1)(2)12nnbbnnnn1111111111123344512222nSnnn………12分18、解答:解:(Ⅰ)列联表补充如下:同意限定区域停车不同意限定区域停车合计男性家长20525女性家长101525合计302050………3分(Ⅱ)因为250(2015510)8.3337.78925253020k,所以我们有99.5%的把握认为是否同意限定区域停车与家长的性别有关.………7分(Ⅲ)男性家长人数209630,女性家长人数=109330,所以,按照性别分层抽样,需从男性家长中选取6人,女性家长中选取3人.记6位男性家长中不开车的为A1,A2,A3,开车的为B1,B2,B3.则从6人中抽取2人,有(A1,A2),(A1,A3),(A1,B1),(A1,B2),(A1,B3),(A2,A3),(A2,B1),(A2,B2),(A2,B3),(A3,B1),(A3,B2),(A3,B3),第2页共4页(B1,B2),(B1,B3),(B2,B3),共有15种………10分其中至少有一人日常开车接送孩子的有(A1,B1),(A1,B2),(A1,B3),(A2,B1),(A2,B2),(A2,B3),(A3,B1),(A3,B2),(A3,B3),(B1,B2),(B1,B3),(B2,B3),共12种.………11分则这两人中至少有一人日常开车接送孩子的概率为124155.………12分19、(1)解答:(1)设与的交点为,连结.因为ABCD为矩形,所以为的中点.在△中,由已知E为PA中点,所以∥PC.又平面,平面,所以PC∥平面BED.………6分(2)取CD中点O,连接POPOCDPCDABCD,,平面平面POABCD平面11AOAOKEK//PO=EKABCD22连接,取中点,则,且平面1111111211212113322326EPBDPABCDEABDPBCDVVVV………12分20、解答:(1) 过E的右焦点且垂直于椭圆长轴的直线与椭圆交于A、B两点,∴222bABa…① 离心率是22,∴2222212cabaa…②由①②得2,2,2abc.∴椭圆方程:22142xy.………5分(2)当斜率不存在时,不合题意………6分设M(x1,y1),N(x2,y2).直线l的方程为:3ykx,联立22324ykxxy整理得22(12)4320kxkx,ACBDFEFFACPACEFEFBEDPCBED第3页共4页22(43)8(12)0kk,121222432,1212kxxxxkk,………8分11221122(,),(,),(,3),(,3)OMxyONxyPMxyPNxy12121276673()21OMONPMPNxxyyyy222(66)2433391212kkkkk7OMONPMPN是定值﹣9。………12分21、解答:(1)当1m时,曲线ln()()1xxyfxgxx'22(1ln)(1)lnln1(1)(1)xxxxxxyxx………1分1x时,切线的斜率为12,又切线过点(1,0)所以切线方程为210xy………3分(2)问题转化为()ln(0)(1)()ykfxxyxxgxx的交点个数21ln`xyx,x(0,)ee(,)e`()fx0()fx递增极大值1e递减max1,0yxye且时,,,0xy综上1ke或0k………7分(3)2'''221(21)()()()(1)(1)mmxmxmFxfxgxxxxx当0m时,函数()Fx在上(0,)单调递减;………8分当0m时,令2()(21),14hxmxmxmm当0时,即1,()04mhx,此时函数()Fx在上(0,)单调递增;………9分第4页共4页当0时,即104m,方程2(21)0mxmxm有两个不等实根12xx1212121221mxxmmxx,所以120xx………10分12(12)14(12)14,22mmmmxxmm,此时函数()Fx在区间12(0,),(,)xx上单调递增;在12(,)xx上单调递减………11分综上所述,当0m时,函数()Fx在上(0,)单调递减;当14m,此时函数()Fx在上(0,)单调递增;当104m,此时函数()Fx在区间(12)14(0,)2mmm,(12)14(,)2mmm...

1、当您付费下载文档后,您只拥有了使用权限,并不意味着购买了版权,文档只能用于自身使用,不得用于其他商业用途(如 [转卖]进行直接盈利或[编辑后售卖]进行间接盈利)。
2、本站所有内容均由合作方或网友上传,本站不对文档的完整性、权威性及其观点立场正确性做任何保证或承诺!文档内容仅供研究参考,付费前请自行鉴别。
3、如文档内容存在违规,或者侵犯商业秘密、侵犯著作权等,请点击“违规举报”。

碎片内容

四川省成都市九校高二6月联考数学(文)答案 四川省成都市九校高二数学6月联考试卷 文(PDF) 四川省成都市九校高二数学6月联考试卷 文(PDF)

雨丝书吧+ 关注
实名认证
内容提供者

乐于和他人分享知识,从事历史教学,热爱教育,高度负责。

相关文档

确认删除?
VIP
微信客服
  • 扫码咨询
会员Q群
  • 会员专属群点击这里加入QQ群
客服邮箱
回到顶部