电脑桌面
添加小米粒文库到电脑桌面
安装后可以在桌面快捷访问

山西省大同市高三文数第一次联合考试试卷(市直)(PDF)答案 山西省大同市高三数学第一次联合考试试卷(市直)文(PDF) 山西省大同市高三数学第一次联合考试试卷(市直)文(PDF)VIP专享VIP免费

山西省大同市高三文数第一次联合考试试卷(市直)(PDF)答案 山西省大同市高三数学第一次联合考试试卷(市直)文(PDF) 山西省大同市高三数学第一次联合考试试卷(市直)文(PDF)_第1页
1/6
山西省大同市高三文数第一次联合考试试卷(市直)(PDF)答案 山西省大同市高三数学第一次联合考试试卷(市直)文(PDF) 山西省大同市高三数学第一次联合考试试卷(市直)文(PDF)_第2页
2/6
山西省大同市高三文数第一次联合考试试卷(市直)(PDF)答案 山西省大同市高三数学第一次联合考试试卷(市直)文(PDF) 山西省大同市高三数学第一次联合考试试卷(市直)文(PDF)_第3页
3/6
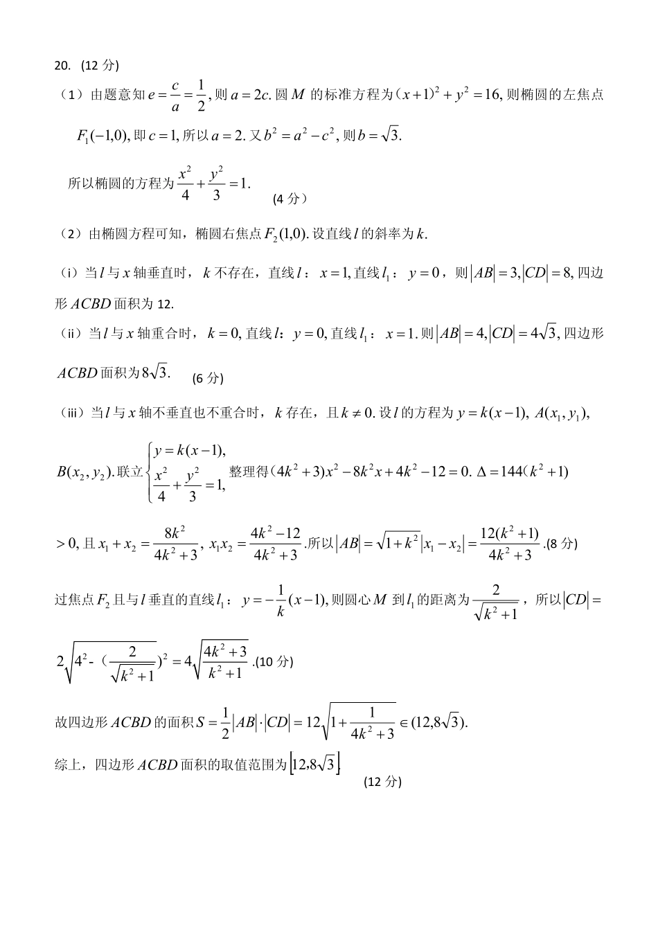
大同市2020届高三年级第一次联合考试(市直)数学(文)答案一、选择题(本大题共12小题,每小题5分,共60分,每小题有且只有一个正确选项)[来源:Zxxk1~5DBDAB6~10、BAACB11~12、AC二、填空题(本大题共4小题,每小题5分,共20分)[13、314、915、2316.27,e三、解答题(共70分,解答应写出文字说明、证明过程或演算步骤)17.(12分)18.(12分)19.(12分)20.(12分)(1)由题意知,21ace则.2ca圆M的标准方程为,16122yx)(则椭圆的左焦点),0,1(1F即,1c所以.2a又,222cab则.3b所以椭圆的方程为.13422yx(4分)(2)由椭圆方程可知,椭圆右焦点).0,1(2F设直线l的斜率为.k(i)当l与x轴垂直时,k不存在,直线l:,1x直线1l:0y,则,8,3CDAB四边形ACBD面积为12.(ii)当l与x轴重合时,,0k直线,0yl:直线1l:.1x则,34,4CDAB四边形ACBD面积为.38(6分)(iii)当l与x轴不垂直也不重合时,k存在,且.0k设l的方程为),1(xky),,(11yxA).,(22yxB联立,134),1(22yxxky整理得.01248)342222kxkxk()11442k(,0且,3482221kkxx341242221kkxx.所以34)1(12122212kkxxkAB.(8分)过焦点2F且与l垂直的直线1l:),1(1xky则圆心M到1l的距离为122k,所以CD2222224324-)411kkk(.(10分)故四边形ACBD的面积CDABS21).38,12(3411122k综上,四边形ACBD面积的取值范围为.3812,(12分)21.(12分)22、(10分)23、(10分)

1、当您付费下载文档后,您只拥有了使用权限,并不意味着购买了版权,文档只能用于自身使用,不得用于其他商业用途(如 [转卖]进行直接盈利或[编辑后售卖]进行间接盈利)。
2、本站所有内容均由合作方或网友上传,本站不对文档的完整性、权威性及其观点立场正确性做任何保证或承诺!文档内容仅供研究参考,付费前请自行鉴别。
3、如文档内容存在违规,或者侵犯商业秘密、侵犯著作权等,请点击“违规举报”。

碎片内容

山西省大同市高三文数第一次联合考试试卷(市直)(PDF)答案 山西省大同市高三数学第一次联合考试试卷(市直)文(PDF) 山西省大同市高三数学第一次联合考试试卷(市直)文(PDF)

确认删除?
VIP
微信客服
  • 扫码咨询
会员Q群
  • 会员专属群点击这里加入QQ群
客服邮箱
回到顶部