电脑桌面
添加小米粒文库到电脑桌面
安装后可以在桌面快捷访问

高中数学必修第二册椭圆的标准方程3课件VIP免费

高中数学必修第二册椭圆的标准方程3课件_第1页
1/12
高中数学必修第二册椭圆的标准方程3课件_第2页
2/12
高中数学必修第二册椭圆的标准方程3课件_第3页
3/12
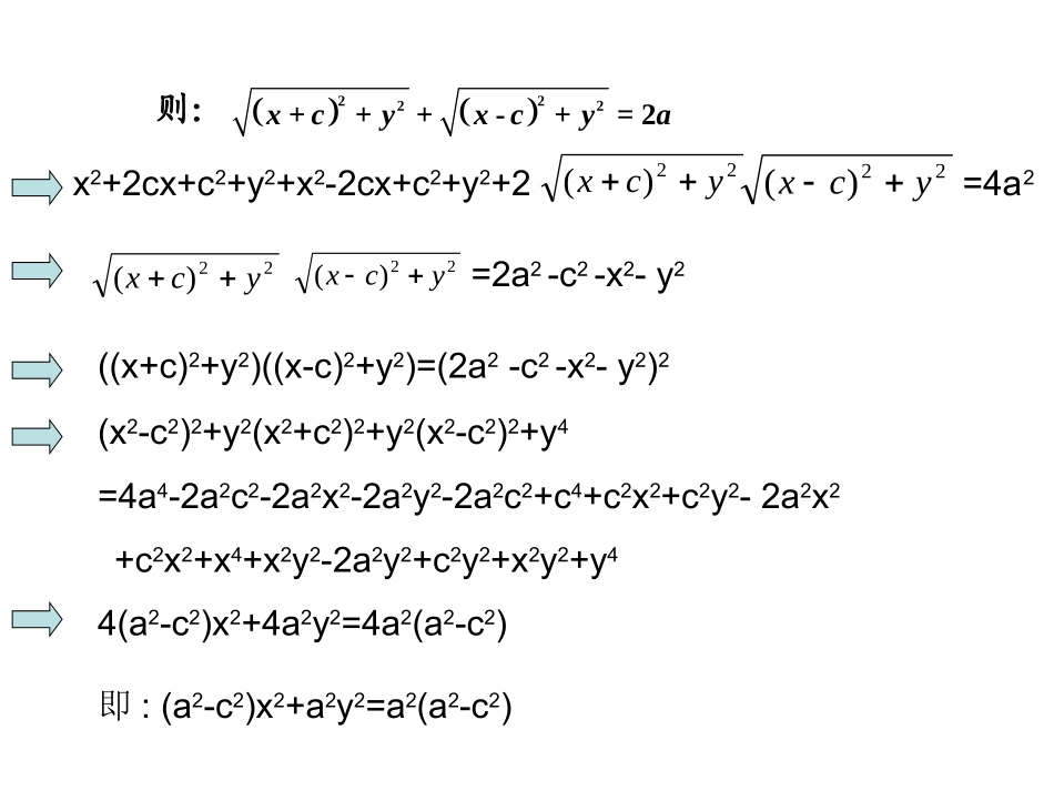
汽车贮油罐的横截面的外轮廓线的形状像椭圆.把一个圆压扁了,也像椭圆思考怎样判定它们就是椭圆呢?1.根据椭圆的定义2.根据椭圆的方程探讨如何求椭圆的方程呢?椭圆的定义:平面内到两个定点F1、F2的距离的和等于常数(大于F1F2)的点的轨迹叫做椭圆,两个定点F1、F2叫做椭圆的焦点,两焦点的距离叫做椭圆的焦距.则:2222+++-+=2xcyxcya22)(ycx22)(ycxx2+2cx+c2+y2+x2-2cx+c2+y2+2=4a2即:(a2-c2)x2+a2y2=a2(a2-c2)22)(ycx22)(ycx=2a2-c2-x2-y2((x+c)2+y2)((x-c)2+y2)=(2a2-c2-x2-y2)2(x2-c2)2+y2(x2+c2)2+y2(x2-c2)2+y4=4a4-2a2c2-2a2x2-2a2y2-2a2c2+c4+c2x2+c2y2-2a2x2+c2x2+x4+x2y2-2a2y2+c2y2+x2y2+y44(a2-c2)x2+4a2y2=4a2(a2-c2)化简列式设点建系F1F2xy以F1、F2所在直线为x轴,线段F1F2的垂直平分线为y轴建立直角坐标系.P(x,y)设P(x,y)是椭圆上任意一点设F1F=2c,则有F1(-c,0)、F2(c,0)-,0c,0cF1F2xyP(x,y)-,0c,0c椭圆上的点满足PF1+PF2为定值,设为2a,则2a>2c则:2222+++-+=2xcyxcya2222++=2--+xcyaxcy2222222++=4-4-+-+xcyaaxcyxcy222-c=-+axaxcy22222222-+=-acxayaac设222-=>0acbb得即:2222+=1>>0xyababOxyOF1F2Pb2x2+a2y2=a2b2根据已知条件,求下列椭圆的焦点坐标根据已知条件,求下列椭圆的焦点坐标),0,5(),0,5((0,-3),(0,3)14922yx(1)11271622yx(2)求适合下列条件的椭圆的标准方程(2)a=4,b=3191622yx(1)b=1,c=,15焦点在y轴上;解:∵焦点在y轴上∴设椭圆的标准方程为12222bxay∵b=1,c=b2=a2-c215∴a2=b2+c2即a2=16191622xy或11622xy∴椭圆的标准方程为例:已知一个运油车上的贮油罐横截面的外轮廓线是一个椭圆,它的焦距为2.4m,外轮廓线上的点到两个焦点距离的和为3m,求这个椭圆的标准方程.解:以两焦点F1、F2所在直线为x轴,线段F1F2的垂直平分线为y轴,建立如图所示的直角坐标系xOy,则这个椭圆的标准方程可设为222210xyabab根据题意有23a,22.4c1.5a,1.2c即222221.51.20.81bac因此,这个椭圆的标准方程为2212.250.81xyxyOF1F2两个焦点分别是(-2,0),(2,0),且过点P1F2F),23,25(求适合下列条件的椭圆的标准方程:法一:c=2法二:c=2设椭圆标准方程为:12222byax2a=P+P2F1F解:例:将圆=4上的点的横坐标保持不变,纵坐标变为原来的一半,求所的曲线的方程,并说明它是什么曲线?yxo22yx设所的曲线上任一点的坐标为(x,y),圆=4上的对应点的坐标为(x’,y’),由题意可得:22yxyyxx//22yx因为=4所以4422yx即1422yx1)将圆按照某个方向均匀地压缩(拉长),可以得到椭圆。2)利用中间变量求点的轨迹方程的方法是解析几何中常用的方法;2222+=1>>0xyabab2222+=1>>0xyabba分母哪个大,焦点就在哪个轴上平面内到两个定点F1,F2的距离的和等于常数(大于F1F2)的点的轨迹12-,0,0,FcFc120,-0,,FcFc标准方程相同点焦点位置的判断不同点图形焦点坐标定义a、b、c的关系根据所学知识完成下表xyF1F2POxyF1F2POa2-c2=b2课后研学研究(1)根据椭圆标准方程你能说出它的其它性质吗?如:椭圆的范围及a,b具有什么几何特征?(2)将圆x2+y2=4上的点的横坐标保持不变,纵坐标变为原来的一半,求所的曲线的方程,并说明它是什么曲线?下课啦!同学们再相会!感谢各位领导和老师们的指导,请多提宝贵意见!Classisover,Thankyouforyourcooperation,goodbye

1、当您付费下载文档后,您只拥有了使用权限,并不意味着购买了版权,文档只能用于自身使用,不得用于其他商业用途(如 [转卖]进行直接盈利或[编辑后售卖]进行间接盈利)。
2、本站所有内容均由合作方或网友上传,本站不对文档的完整性、权威性及其观点立场正确性做任何保证或承诺!文档内容仅供研究参考,付费前请自行鉴别。
3、如文档内容存在违规,或者侵犯商业秘密、侵犯著作权等,请点击“违规举报”。

碎片内容

高中数学必修第二册椭圆的标准方程3课件

您可能关注的文档

确认删除?
VIP
微信客服
  • 扫码咨询
会员Q群
  • 会员专属群点击这里加入QQ群
客服邮箱
回到顶部