电脑桌面
添加小米粒文库到电脑桌面
安装后可以在桌面快捷访问

高考数学考前专题复习篇 主题三 三角函数、三角变换、解三角形与平面向量 三角变换与解三角形3-2 课件VIP免费

高考数学考前专题复习篇 主题三 三角函数、三角变换、解三角形与平面向量 三角变换与解三角形3-2 课件_第1页
1/30
高考数学考前专题复习篇 主题三 三角函数、三角变换、解三角形与平面向量 三角变换与解三角形3-2 课件_第2页
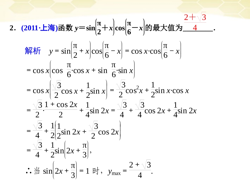
2/30
高考数学考前专题复习篇 主题三 三角函数、三角变换、解三角形与平面向量 三角变换与解三角形3-2 课件_第3页
3/30
§2三角变换与解三角形真题热身1.(2011·重庆改编)若△ABC的内角A,B,C所对的边a,b,c满足(a+b)2-c2=4,且C=60°,则ab的值为________.解析由(a+b)2-c2=4得(a2+b2-c2)+2ab=4.① a2+b2-c2=2abcosC,故方程①化为2ab(1+cosC)=4.∴ab=21+cosC.又 C=60°,∴ab=43.432.(2011·上海)函数y=sinπ2+xcosπ6-x的最大值为________.解析y=sinπ2+xcosπ6-x=cosx·cosπ6-x=cosxcosπ6·cosx+sinπ6·sinx=cosx32cosx+12sinx=32cos2x+12sinx·cosx=32·1+cos2x2+14sin2x=34+34cos2x+14sin2x=34+1212sin2x+32cos2x=34+12sin2x+π3,∴当sin2x+π3=1时,ymax=2+34.2+343.(2011·辽宁改编)设sin(π4+θ)=13,则sin2θ=________.解析sin(π4+θ)=22(sinθ+cosθ)=13,将上式两边平方,得12(1+sin2θ)=19,∴sin2θ=-79.-794.(2011·浙江)在△ABC中,角A,B,C所对的边分别为a,b,c.若acosA=bsinB,则sinAcosA+cos2B=________.解析 acosA=bsinB,∴sinAcosA=sinBsinB,即sinAcosA-sin2B=0,∴sinAcosA-(1-cos2B)=0,∴sinAcosA+cos2B=1.1考点整合1.两角和与差的正弦、余弦、正切公式(1)sin(α±β)=sinαcosβ±cosαsinβ.(2)cos(α±β)=cosαcosβ∓sinαsinβ.(3)tan(α±β)=tanα±tanβ1∓tanαtanβ.2.二倍角的正弦、余弦、正切公式(1)sin2α=2sinαcosα.(2)cos2α=cos2α-sin2α=2cos2α-1=1-2sin2α.(3)tan2α=2tanα1-tan2α.3.三角恒等变换的基本思路(1)“化异为同”,“切化弦”,“1”的代换是三角恒等变换的常用技巧.“化异为同”是指“化异名为同名”,“化异次为同次”,“化异角为同角”.(2)角的变换是三角变换的核心,如β=(α+β)-α,2α=(α+β)+(α-β)等.4.正弦定理asinA=bsinB=csinC=2R(2R为△ABC外接圆的直径).变形:a=2RsinA,b=2RsinB,c=2RsinC.sinA=a2R,sinB=b2R,sinC=c2R.a∶b∶c=sinA∶sinB∶sinC.5.余弦定理a2=b2+c2-2bccosA,b2=a2+c2-2accosB,c2=a2+b2-2abcosC.推论:cosA=b2+c2-a22bc,cosB=a2+c2-b22ac,cosC=a2+b2-c22ab.变形:b2+c2-a2=2bccosA,a2+c2-b2=2accosB,a2+b2-c2=2abcosC.6.面积公式S△ABC=12bcsinA=12acsinB=12absinC.7.三角形中的常用结论(1)三角形内角和定理:A+B+C=π.(2)A>B>C⇔a>b>c⇔sinA>sinB>sinC.(3)a=bcosC+ccosB.分类突破一、三角变换及求值例1已知cosα=17,cos(α-β)=1314,且0<β<α<π2.(1)求tan2α的值;(2)求β的值.解(1)由cosα=17,0<α<π2,得sinα=1-cos2α=1-172=437.∴tanα=sinαcosα=437×71=43.于是tan2α=2tanα1-tan2α=2×431-(43)2=-8347.(2)由0<β<α<π2,得0<α-β<π2.又 cos(α-β)=1314,∴sin(α-β)=1-cos2(α-β)=1-13142=3314.由β=α-(α-β),得cosβ=cos[α-(α-β)]=cosαcos(α-β)+sinαsin(α-β)=17×1314+437×3314=12,又0<β<π2,所以β=π3.归纳拓展“角”是考查三角函数的主要内容,三角函数的化简求值要通过寻求角与角之间关系的特殊性来进行求解,求解中要注意已知角与特殊角的变换、已知角与目标角的变换、角与其倍角的变换、两角与其和差角的变换等,如α=(α+β)-β=(α-β)+β,2α=(α+β)+(α-β),2α=(β+α)-(β-α),α+β=2·α+β2,α+β2=(α-β2)-(α2-β)等.其基本的思维过程为:寻找角之间的关系,确定角的范围,求三角函数值.变式训练1(2011·天津)已知函数f(x)=tan(2x+π4).(1)求f(x)的定义域与最小正周期;(2)设α∈(0,π4),若f(α2)=2cos2α,求α的大小.解(1)由2x+π4≠π2+kπ,k∈Z,得x≠π8+kπ2,k∈Z.所以f(x)的定义域为{x∈R|x≠π8+kπ2,k∈Z},f(x)的最小正周期为π2.(2)由f(α2)=2cos2α,得tan(α+π4)=2...

1、当您付费下载文档后,您只拥有了使用权限,并不意味着购买了版权,文档只能用于自身使用,不得用于其他商业用途(如 [转卖]进行直接盈利或[编辑后售卖]进行间接盈利)。
2、本站所有内容均由合作方或网友上传,本站不对文档的完整性、权威性及其观点立场正确性做任何保证或承诺!文档内容仅供研究参考,付费前请自行鉴别。
3、如文档内容存在违规,或者侵犯商业秘密、侵犯著作权等,请点击“违规举报”。

碎片内容

高考数学考前专题复习篇 主题三 三角函数、三角变换、解三角形与平面向量 三角变换与解三角形3-2 课件

您可能关注的文档

;绿洲书城+ 关注
实名认证
内容提供者

从事历史教学,热爱教育,高度负责。

确认删除?
VIP
微信客服
  • 扫码咨询
会员Q群
  • 会员专属群点击这里加入QQ群
客服邮箱
回到顶部