电脑桌面
添加小米粒文库到电脑桌面
安装后可以在桌面快捷访问

Dredging Engineering-Part 2 soil 疏浚工程 土质篇VIP免费

Dredging Engineering-Part 2 soil 疏浚工程 土质篇_第1页
1/27
Dredging Engineering-Part 2 soil 疏浚工程 土质篇_第2页
2/27
Dredging Engineering-Part 2 soil 疏浚工程 土质篇_第3页
3/27
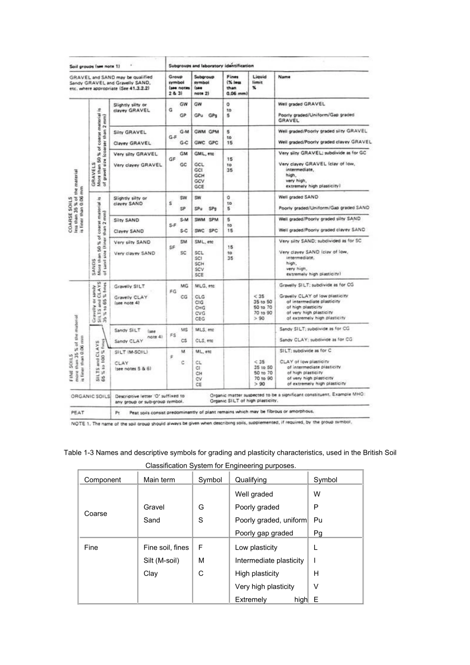
Part 2 Dredging Process.......................................................................................................... 1Chapter 1 Basic Concepts of Soil Mechanics........................................................................................ 11.1 Soil Classification............................................................................................................... 11.2 Soil Properties.................................................................................................................... 11.2.1 Phase Relationships of Soil..........................................................................................................21.2.2 Compaction and/or Consistency....................................................................................................... 21.2.3 Permeability........................................................................................................................ 21.3 Elementary Soil Tests............................................................................................................ 71.3.1 Permeability Test.................................................................................................................... 71.3.2 Mohr Circle.......................................................................................................................... 81.3.3 Case Study.......................................................................................................................... 101.3.4 Triaxial Shear Test---Mohr Failure Envelop.......................................................................................... 121.3.5 Direct Shear Test---Coulomb’s Law (1776)........................................................................................... 131.3.6 Standard Penetration Test--SPT...................................................................................................... 161.4...

1、当您付费下载文档后,您只拥有了使用权限,并不意味着购买了版权,文档只能用于自身使用,不得用于其他商业用途(如 [转卖]进行直接盈利或[编辑后售卖]进行间接盈利)。
2、本站所有内容均由合作方或网友上传,本站不对文档的完整性、权威性及其观点立场正确性做任何保证或承诺!文档内容仅供研究参考,付费前请自行鉴别。
3、如文档内容存在违规,或者侵犯商业秘密、侵犯著作权等,请点击“违规举报”。

碎片内容

Dredging Engineering-Part 2 soil 疏浚工程 土质篇

您可能关注的文档

书海行舟+ 关注
实名认证
内容提供者

热爱教学事业,对互联网知识分享很感兴趣

确认删除?
VIP
微信客服
  • 扫码咨询
会员Q群
  • 会员专属群点击这里加入QQ群
客服邮箱
回到顶部