电脑桌面
添加小米粒文库到电脑桌面
安装后可以在桌面快捷访问

双曲线和抛物线复习VIP免费

双曲线和抛物线复习_第1页
1/26
双曲线和抛物线复习_第2页
2/26
双曲线和抛物线复习_第3页
3/26
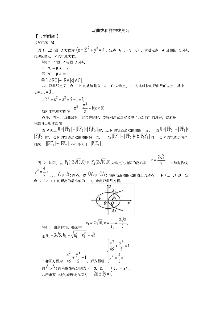
双曲线和抛物线复习【典型例题 】【双曲线 A】例 1. 已知圆 C 方程为,定点 A (- 3,0),求过定点A 且和圆 C 外切的动圆圆心P 的轨迹方程。解析: 圆 P 与圆 C 外切,∴|PC|=|PA|+2,即|PC|-|PA|=2,∴由双曲线定义,点P 的轨迹是以A ,C 为焦点, 2 为实轴长的双曲线的左支,其中,故所求轨迹方程为点评: 在利用双曲线第一定义解题时,要特别注意对定义中“绝对值”的理解,以避免解题时出现片面性。当 P 满足时,点 P 的轨迹是双曲线的一支;当时,点 P 的轨迹是双曲线的另一支,当时,点 P 的轨迹是两条射线。不可能大于。例 2. 如图,以和为焦点的椭圆的离心率,它与抛物线交于两点,以为两渐近线的双曲线上的动点P(x,y)到一定点 Q(2,0)的距离的最小值为1,求此双曲线方程。解析: 由条件知,椭圆中则∴椭圆方程为。解方程组得两点的坐标分别为(3,2),( 3,- 2)。∴所求双曲线的渐近线方程为又 Q(2,0)到的距离为所以双曲线的实轴只能在x 轴上。设所求双曲线方程为,则,方程化为,得 P(x,y)在双曲线上,∴①当,即时,当时,解得∴所求双曲线方程为②当,即时,当时,解得或(舍去),∴所求双曲线方程为综上,所求双曲线方程为或点评: 待定系数法是求曲线方程最常用的方法之一。(1)与双曲线有共同渐近线的双曲线方程可表示为;(2)若双曲线的渐近线方程是,则双曲线的方程可表示为;(3)与双曲线共焦点的双曲线方程可表示为;(4)过两个已知点的双曲线的标准方程表示为;(5)与椭圆有共同焦点的双曲线方程表示为=1利用上述结论求关于曲线的标准方程,可简化解题过程,提高解题速度。例 3. 已知双曲线的中心在原点,焦点在坐标轴上, 离心率为,且过点。(1)求双曲线方程;(2)若点 M (3,m)在双曲线上,求证:;(3)求的面积。解析: (1),∴可设双曲线方程为 过点,∴,即,∴双曲线方程为(2)由( 1)可知,双曲线中, 点( 3,m)在双曲线上,∴故(3)的底,的高点评: 双曲线的标准方程和几何性质中涉及到很多基本量,如“a,b,c,e”等,树立基本量思想对于确定曲线方程和认识其几何性质有很大帮助.另外,渐近线是双曲线特有的,双曲线的渐近线方程可记为.同时以为渐近线的双曲线方程可设为()。特别地,等轴双曲线方程可设为()。另外,类似于“MF 1⊥ MF 2”的垂直关系的证明可以通过k1·k2=- 1,来证明,也可以通过来...

1、当您付费下载文档后,您只拥有了使用权限,并不意味着购买了版权,文档只能用于自身使用,不得用于其他商业用途(如 [转卖]进行直接盈利或[编辑后售卖]进行间接盈利)。
2、本站所有内容均由合作方或网友上传,本站不对文档的完整性、权威性及其观点立场正确性做任何保证或承诺!文档内容仅供研究参考,付费前请自行鉴别。
3、如文档内容存在违规,或者侵犯商业秘密、侵犯著作权等,请点击“违规举报”。

碎片内容

双曲线和抛物线复习

爱的疯狂+ 关注
实名认证
内容提供者

该用户很懒,什么也没介绍

相关文档

确认删除?
VIP
微信客服
  • 扫码咨询
会员Q群
  • 会员专属群点击这里加入QQ群
客服邮箱
回到顶部