电脑桌面
添加小米粒文库到电脑桌面
安装后可以在桌面快捷访问

同济版-高等数学-课后习题解析汇总VIP免费

同济版-高等数学-课后习题解析汇总_第1页
1/10
同济版-高等数学-课后习题解析汇总_第2页
2/10
同济版-高等数学-课后习题解析汇总_第3页
3/10
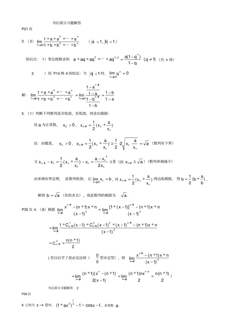
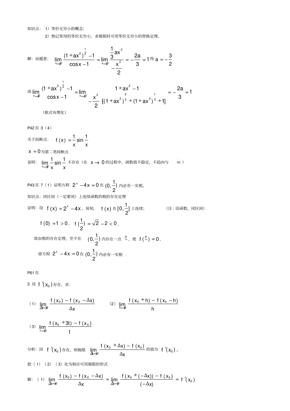
书后部分习题解答P21 页3.(3)nnnbbbaaa2211lim(1,1 ba)知识点: 1)等比级数求和)1(1)1(12qqqaaqaqaqann(共 n 项) 2)用 P14 例 4 的结论:当1q时,0limnnq解:nnnbbbaaa2211limabbbaannn111111lim115. (1)判断下列数列是否收敛,若收敛,则求出极限:设 a 为正常数,00x,)(211nnnxaxx证:由题意,0nx,axaxxaxxnnnnn221)(211(数列有下界)又02)(2121nnnnnnnxxaxxaxxx(因axn 1)(数列单调减少)由单调有界定理, 此数列收敛; 记bxnnlim,对)(211nnnxaxx两边取极限, 得)(21babb,解得ab(负的舍去) ,故此数列的极限为a . P35 页 4. (8)极限211)1()1(limxnxnxnx211)1()1()]1(1[limxnxnxnx21221111)1()1()1()1()1(1limxnxnxxCxCnnnx2)1(21nnC n( 若以后学了洛必达法则(00 型未定型),则211)1()1(limxnxnxnx2)1(2)1(lim)1(2)1())1(lim111nnnxnxnxnnxnx)书后部分习题解答2 P36页8. 已知当0x时,1cos~1)1(312xax,求常数 a . 知识点: 1)等价无穷小的概念;2)熟记常用的等价无穷小,求极限时可用等价无穷小的替换定理。解:由题意:132231lim1cos1)1(lim2203120axaxxaxxx得23a或132]1)1()1[(211lim1cos1)1(lim3123222203120aaxaxxaxxaxxx(根式有理化)P42页 3( 4)关于间断点:xxxf1sin1)(0x为第二类间断点说明:xxx1sin1lim0不存在(在0x的过程中,函数值不稳定,不趋向与)P43页 7( 1)证明方程042xx在)21,0(内必有一实根。知识点:闭区间(一定要闭)上连续函数的根的存在定理证明:设xxfx42)(,易知,)(xf在]21,0[上连续;(注 : 设函数,闭区间)01)0(f,022)21(f,故由根的存在定理,至少在)21,0(内存在一点,使0)(f,即方程042xx在)21,0(内必有一实根 . P61页3. 设)(0xf存在,求:( 1)xxxfxfx)()(lim000(2)hhxfhxfh)()(lim000( 3)txftxft)()3(lim000分析:因)(0xf存在,则极限xxfxxfx)()(lim000的值为)(0xf。把( 1)( 2)( 3)化为相应可用极限的形式解:( 1)xxxfxfx)()(lim000)()()())((lim0000xfxxfxxfx( 2)hhxfhxfh)()(lim000hxfhxfxfhxfh)()()()(lim00000)1)(()())(()()(lim00000hxfhxfhxfhxfh)(2)()(000xfxfxf( 3)txftxft)()3(lim000)(333)()3(lim0000xftxftxft8. 用导数的定义求0,)1ln(0,)(xxxxxf在0x处的导数 . (可参看 P51 例 1-2 )知识点: 1)导数在一点0x处的定义:xxfxxfxfx)()(lim)(0000;2)点0x 处的左右导数的定义与记号...

1、当您付费下载文档后,您只拥有了使用权限,并不意味着购买了版权,文档只能用于自身使用,不得用于其他商业用途(如 [转卖]进行直接盈利或[编辑后售卖]进行间接盈利)。
2、本站所有内容均由合作方或网友上传,本站不对文档的完整性、权威性及其观点立场正确性做任何保证或承诺!文档内容仅供研究参考,付费前请自行鉴别。
3、如文档内容存在违规,或者侵犯商业秘密、侵犯著作权等,请点击“违规举报”。

碎片内容

同济版-高等数学-课后习题解析汇总

确认删除?
VIP
微信客服
  • 扫码咨询
会员Q群
  • 会员专属群点击这里加入QQ群
客服邮箱
回到顶部