电脑桌面
添加小米粒文库到电脑桌面
安装后可以在桌面快捷访问

含参量积分汇总VIP免费

含参量积分汇总_第1页
1/9
含参量积分汇总_第2页
2/9
含参量积分汇总_第3页
3/9
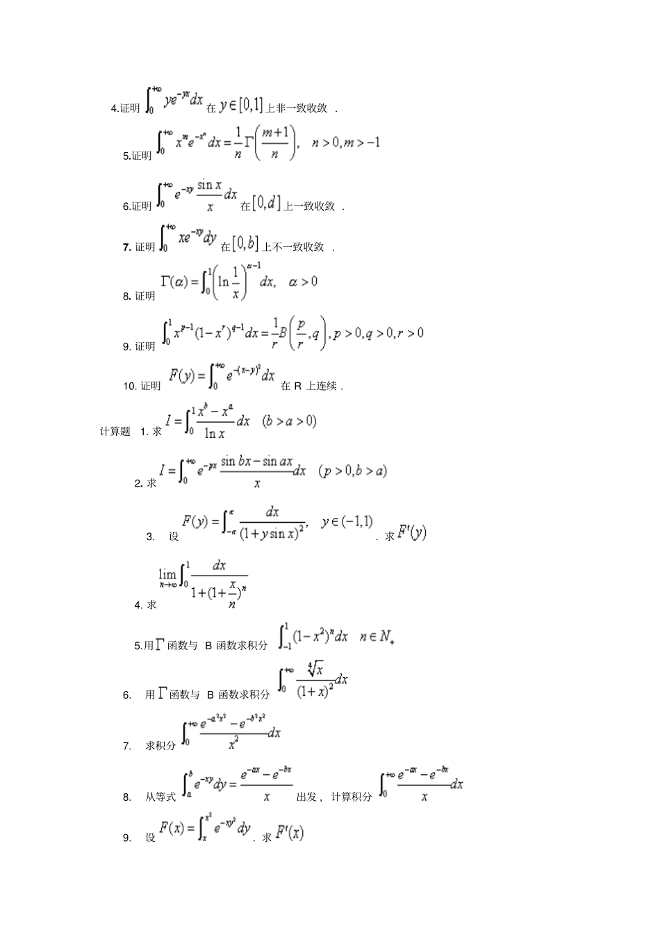
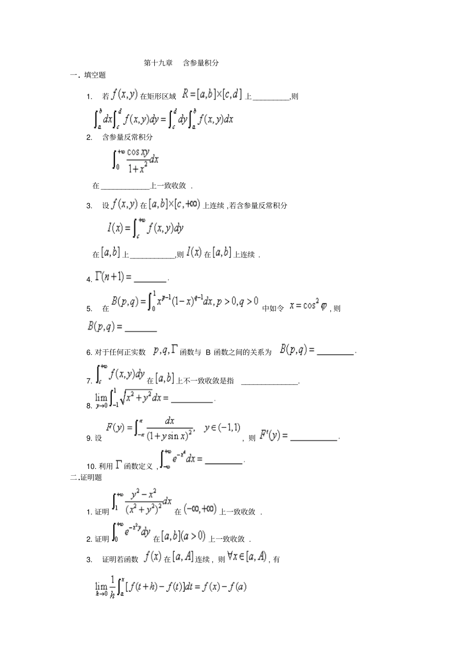
第十九章含参量积分一. 填空题1.若在矩形区域上_________,则2.含参量反常积分在 ____________上一致收敛 . 3.设在上连续 ,若含参量反常积分在上___________,则在上连续 . 4. 5.在中如令, 则6. 对于任何正实数函数与 B 函数之间的关系为7. 在上不一致收敛是指______________. 8. 9. 设, 则10. 利用函数定义 ,二.证明题1. 证明在上一致收敛 . 2. 证明在上一致收敛 . 3.证明若函数在连续 , 则, 有 4.证明在上非一致收敛 . 5.证明6.证明在上一致收敛 . 7. 证明在上不一致收敛 . 8. 证明9. 证明10. 证明在 R 上连续 . 计算题1. 求2. 求3.设. 求 4. 求 5.用函数与 B 函数求积分6.用函数与 B 函数求积分7.求积分8.从等式出发 , 计算积分9.设. 求10. 求填空题答案 1. 连续 . 2. R 3. 一致收敛 . 4. 5.. 6. . 7. , 有8. 1 9. . 10. . 证明题答案 : 1. 证明 : , 有, 而收敛 , 则在上一致收敛 . 2. 证 : , 有, 而, 则在上一致收敛 . 3 证 : 已知在连续 , 使. 设, 有于是 , 4.证: , 有. 即在上非一致收敛 . 5.证: 设有. 6.证: 由于反常积分收敛 ,函数对每个单调 , 且对任何, 都有. 故由阿贝耳判别法可知在上一致收敛 . 7. 证 : 因在处 不 连 续 , 而在内连续 , 由连续性定理知, 在上不一致收敛 . 8. 证: 令, 则. 9. 证: 令则, . 10. 证:利用含参量积分所确定函数连续性定理可得在 R 上连续 , 则在 R 上连续 . ( 这里利用了). 计算题答案: 1.解: 因为, 所以. 由于函数在上连续 , 则. 2. 解: 因为, 所以. 由于及反常积分收敛 ,由 M 判别法在上一致收敛 . 由于在上连续 , 于是. 3.解 : 使. 二元函数与在区域连续 , 由含参量正常积分可微性知4.解: 考虑函数, 有. 从 而 二 元 函数在连续. 由连续性定理, 取, 有. 5.解: 设有. 6.解: 令则. 原积分. 7.解: . 8.解; 当时, , 而收敛 , 故在上一致收敛 . 又在内连续 , 所以. 9. 解: . 在上连续 , 均为可微函数 . 则在上可微 , 且. 10.解: 记. 由于都是的连续函数 , 则在处连续 , 所以第十九章含参量积分1.设, 其中关于的偏导数存在且连续, 求. 2.设, 可导 , 求. 3.计算积分. 4.设试证5.讨论函数的连续性 , 其中为闭区间上正的连续函数. 6.计算积分. 7.设是连续函数 , 求. 8.讨论含参量反常积分在下列区间上的一致收敛性: (1) ; (2) . 9.若在内可积 , 证明. 10. 讨论下列含参量积分在指定区间内的一致收敛性: (1); (2); (3); (4). 11. 若 (1) 函 数在内 可 积 ; (2) 函 数定 义 在上 , 对,关于单调 , 且一致有界 , 则关于在上一致收敛 . 12. 计算积分.

1、当您付费下载文档后,您只拥有了使用权限,并不意味着购买了版权,文档只能用于自身使用,不得用于其他商业用途(如 [转卖]进行直接盈利或[编辑后售卖]进行间接盈利)。
2、本站所有内容均由合作方或网友上传,本站不对文档的完整性、权威性及其观点立场正确性做任何保证或承诺!文档内容仅供研究参考,付费前请自行鉴别。
3、如文档内容存在违规,或者侵犯商业秘密、侵犯著作权等,请点击“违规举报”。

碎片内容

含参量积分汇总

您可能关注的文档

确认删除?
VIP
微信客服
  • 扫码咨询
会员Q群
  • 会员专属群点击这里加入QQ群
客服邮箱
回到顶部