电脑桌面
添加小米粒文库到电脑桌面
安装后可以在桌面快捷访问

九年级数学二次根式 课件2 课件VIP免费

九年级数学二次根式 课件2 课件九年级数学二次根式 课件2 课件九年级数学二次根式 课件2 课件九年级数学二次根式 课件2 课件
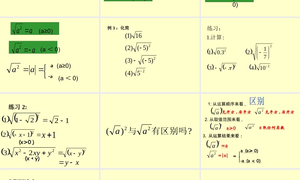
21.1 二次根式( 2 ) .的式子叫做二次根式形如 a)0( a二次根式的定义 :二次根式的性质 :(双重非负性.0,0aa复习回忆 2)4(2)01.0(2)31(2)0(aa2(a≥0)040.0131 例 2 :计算222(1)( 1.5)(2)(2 5)(3)( 3 3) 练习 1: 用心算一算 : 251  2233518 24201.02312040.01310aa 2(a≥0) 2)4(2)01.0( 23140.0131aa2(a < 0) aa 2(a≥0)aa2(a < 0)aa2a-a(a≥0)(a < 0) 例 3 :化简2225)4()5()3()5()2(16)1(     222210.4.371.23.0.1:.1 计算练习: 练习 2:2yx    221112  2223yxyx(xy)﹤xy    212x(x>0 )1x ?)(22有区别吗与 aa 2. 从取值范围来看 , 2a2a a≥0a 取任何实数1: 从运算顺序来看 ,2a2a先开方 , 后平方先平方 , 后开方3. 从运算结果来看 :=aa (a≥ 0)2a2a-a (a < 0)== a∣ ∣ 化简下列各式 :)0,0()4()8(6416)3()5()5()2()32()23)(1(2222222babammm 若 a.b 为实数 , 且求 的值022ba1222bba解 : 20a,02 b022ba而20a,02 b22ab , 31212212222ba原式 22)()(,,,)2(cabcbaABCcba化简的三边长为△已知 ( 2003 年 · 河南省 ) 实数 p 在数轴上的位置如图所示,化简 222)1(pp121)2(1pppp 的值。求:互为相反数,与:已知bababa,86

1、当您付费下载文档后,您只拥有了使用权限,并不意味着购买了版权,文档只能用于自身使用,不得用于其他商业用途(如 [转卖]进行直接盈利或[编辑后售卖]进行间接盈利)。
2、本站所有内容均由合作方或网友上传,本站不对文档的完整性、权威性及其观点立场正确性做任何保证或承诺!文档内容仅供研究参考,付费前请自行鉴别。
3、如文档内容存在违规,或者侵犯商业秘密、侵犯著作权等,请点击“违规举报”。

碎片内容

九年级数学二次根式 课件2 课件

您可能关注的文档

远洋启航书店+ 关注
实名认证
内容提供者

从事历史教学,热爱教育,高度负责。

相关文档

确认删除?
VIP
微信客服
  • 扫码咨询
会员Q群
  • 会员专属群点击这里加入QQ群
客服邮箱
回到顶部