电脑桌面
添加小米粒文库到电脑桌面
安装后可以在桌面快捷访问

电除尘器的设计VIP免费

电除尘器的设计_第1页
1/11
电除尘器的设计_第2页
2/11
电除尘器的设计_第3页
3/11
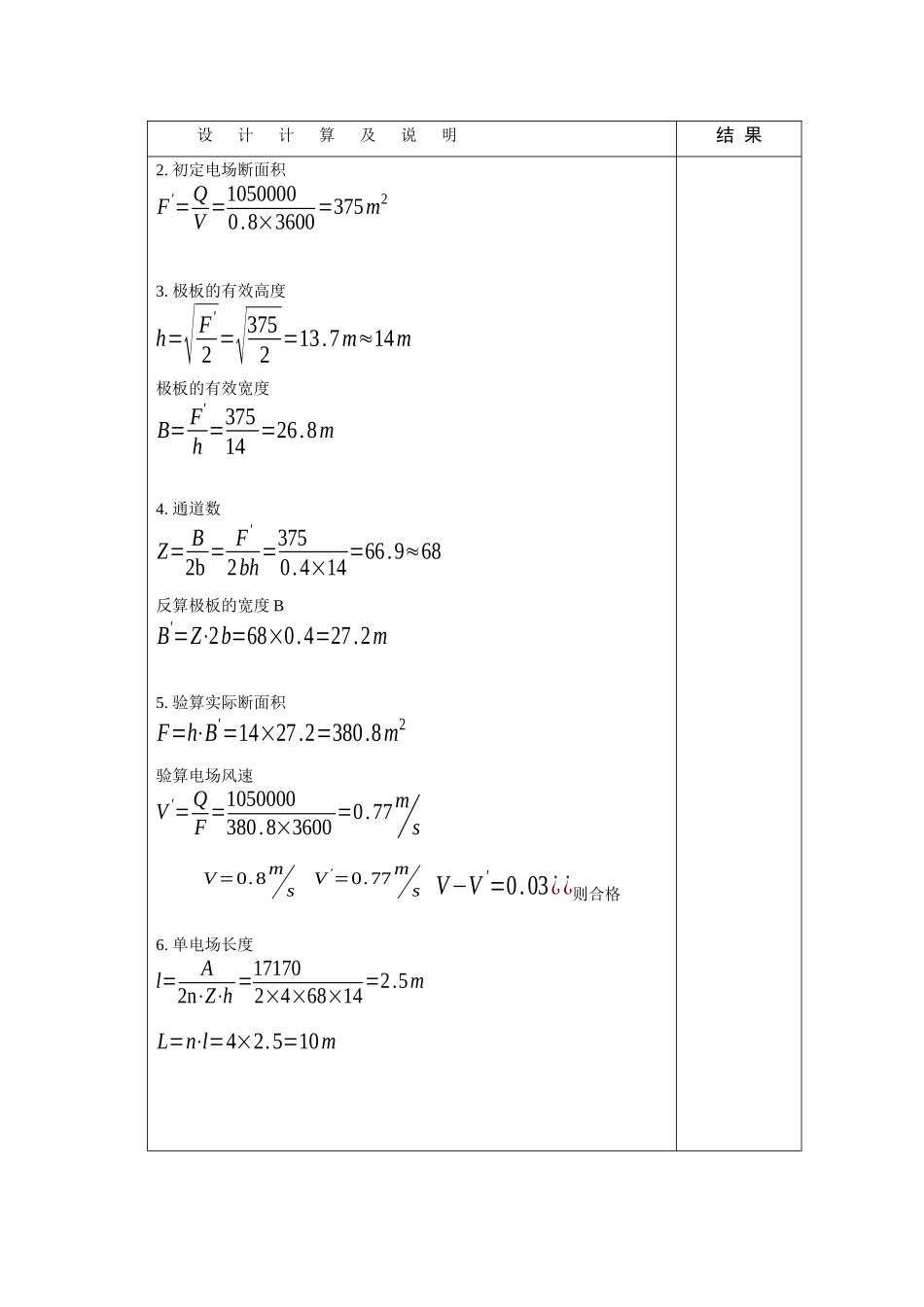
设 计 计 算 及 说 明结 果课程设计题目为该机组设计配置 2 台电除尘器,除尘效率不低于 99.5%,试对该电除尘器进行总体设计,并画出简图。一、除尘器主要参数的选取二、确定主要参数1. 设定电场 V=0.8m/s2. 设定板间距 2b=400mm 极板采用 C 型板,紧固型悬挂方式3. 设定线间距=400mm 极线采用长管状芒刺线(起晕电压 15KV)4. 驱进速度 ω=9.0cm/s=0.09m/s5. 电场强度 E=50000V/m6. 电压 U=70KV三、确定主要部件结构形式1. 采用卧式电除尘器2. 设计为单室 m=13. 电场数 n=44. 振打方式:挠臂锤机械振打5. 进出气烟箱:①进气方式:前部中心进气 ② 气流分布:在进气烟箱内设置开孔率为 50%气流均布板和导流板③ 槽形极板:在出气烟箱内设置槽形极板6. 灰斗:设置四棱台形灰斗四、各部尺寸计算1. 收尘面积按照要求设计 2 台电除尘器,则每台处理烟气量Q=2100000m3/h2=1050000m3/hA=−Q ln(1−η)ω×k=−1050000×ln(1−99.5%)0.09×3600×1.1=17170 m2 设 计 计 算 及 说 明结 果2. 初定电场断面积F'=QV =10500000.8×3600=375m23. 极板的有效高度h=√F'2 =√3752 =13.7m≈14m极板的有效宽度B= F'h =37514 =26.8m4. 通道数Z= B2b = F'2bh=3750.4×14=66.9≈68反算极板的宽度 BB'=Z⋅2b=68×0.4=27.2m5. 验算实际断面积F=h⋅B'=14×27.2=380.8m2验算电场风速V '=QF =1050000380.8×3600 =0.77msV =0.8ms V '=0.77ms V−V '=0.03¿¿则合格6. 单电场长度l=A2n⋅Z⋅h =171702×4×68×14=2.5mL=n⋅l=4×2.5=10m 设 计 计 算 及 说 明结 果7. 电压和电流U=3.5×2b2 =3.5×402 =70 kvI=0.4×171704=1717mA额定电压为 72kv额定电流为 1.8A8. 柱间距除尘器内壁宽度 B(取Δ=100mm )B=2b×Z+2 Δ=400×68+2×100=27400mm沿气流方向上的柱间距Ld(l取 e=500mm,C=400mm)Ld=l+2le+C=2500+2×500+400=3900mm与气流垂直方向的柱间距Lk (取e'=400mm)Lk=( B+e')/m=(27400+400)/1=27800mm9. 进气烟箱进气烟箱采用水平进气方式,并设置导流板和开孔率为 50%的气流均布板, 取进口烟气流速为 10m/s,进气烟箱进口的截面积F0F0=Q3600V 0=10500003600×10 =29.2m2 将F0圆整为 30m²,进气烟箱的进口截面形状为 7.5m×4m 的矩形,底板斜度=600 ,进气烟箱长L2=0.35(a1−a2)+250=0.35×(27200−7500)+250=7150mm10. 出气烟箱出气烟箱采用水平出气方式,...

1、当您付费下载文档后,您只拥有了使用权限,并不意味着购买了版权,文档只能用于自身使用,不得用于其他商业用途(如 [转卖]进行直接盈利或[编辑后售卖]进行间接盈利)。
2、本站所有内容均由合作方或网友上传,本站不对文档的完整性、权威性及其观点立场正确性做任何保证或承诺!文档内容仅供研究参考,付费前请自行鉴别。
3、如文档内容存在违规,或者侵犯商业秘密、侵犯著作权等,请点击“违规举报”。

碎片内容

电除尘器的设计

您可能关注的文档

确认删除?
VIP
微信客服
  • 扫码咨询
会员Q群
  • 会员专属群点击这里加入QQ群
客服邮箱
回到顶部