电脑桌面
添加小米粒文库到电脑桌面
安装后可以在桌面快捷访问

(陕西专版)中考数学新突破复习 第一部分 教材同步复习 第三章 函数 35 二次函数的综合与应用课件VIP免费

(陕西专版)中考数学新突破复习 第一部分 教材同步复习 第三章 函数 35 二次函数的综合与应用课件(陕西专版)中考数学新突破复习 第一部分 教材同步复习 第三章 函数 35 二次函数的综合与应用课件(陕西专版)中考数学新突破复习 第一部分 教材同步复习 第三章 函数 35 二次函数的综合与应用课件(陕西专版)中考数学新突破复习 第一部分 教材同步复习 第三章 函数 35 二次函数的综合与应用课件
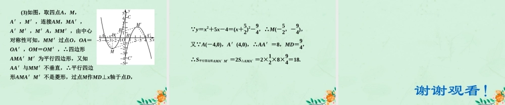
第三章 函第三章 函 数数第一部分 教材同步复习3.5 二次函数的综合与应用知识要点 · 归纳二次函数 y = ax2+ bx + c(a≠0) 的图象与 x 轴的交点坐标是一元二次方程 ax2+ bx + c = 0(a≠0) 的实数根,函数图象与 x 轴的交点情况可由对应方程的根的判别式 __________的符号来判定.► 知识点一 二次函数与一元二次方程 b2 - 4ac【注意】用二次函数 y = ax2 + bx + c(a≠0) 的图象估计一元二次方程 ax2 + bx + c = 0(a≠0) 的根时,一元二次方程的根即就是二次函数图象与 x 轴交点坐标的横坐标.b2 - 4ac 的符号b2 - 4ac > 0 b2 - 4ac =0b2 - 4ac <0抛物线 y = ax2+ bx + c 与 x轴的交点的个数两个交点____ 个交点无交点一元二次方程ax2 + bx + c= 0 实数根的情况________ 个不相等的实数根两个相等的实数根没有实数根一两二次函数的应用关键在于建立二次函数的数学模型,这就需要认真审题,理解题意.利用二次函数解决实际问题,应用最多的是根据二次函数的最值确定最大利润、最节省的方案等问题.►知识点二 二次函数的实际应用1 .题型特点二次函数与几何知识的综合应用题型很多,最常见的类型有存在性问题、动点问题、动手操作问题,涉及的内容有方程、函数、等腰三角形、直角三角形、相似三角形、平行四边形、梯形等多种知识,解决这类综合应用问题,关键是要善于借助数学综合题中所隐含的数形结合、转化、方程等重要的数学思想建立函数模型.►知识点三 二次函数与几何的综合运用2 .方法归纳(1) 存在性问题:注意灵活运用数形结合思想,可先假设存在,然后再借助已知条件求解,如果有解 ( 求出的结果符合题目要求 ) ,则假设成立,即存在,如果无解 ( 推出矛盾或求出的结果不符合题目要求 ) ,则假设不成立,即不存在;(2) 动点问题:通常利用数形结合、分类和转化思想,借助图形,切实把握图形运动的全过程,动中取静,选取某一时刻作为研究对象,然后根据题意建立方程模型或者函数模型求解.三年中考 · 讲练【例 1 】 如图,以 (1 ,- 4) 为顶点的二次函数 y =ax2 + bx + c 的图象与 x 轴负半轴交于 A 点,则一元二次方程 ax2+ bx + c = 0 的正数解的范围是 ( )A . 2 < x < 3 B . 3 < x < 4C . 4 < x < 5 D . 5 < x < 6析精例典二次...

1、当您付费下载文档后,您只拥有了使用权限,并不意味着购买了版权,文档只能用于自身使用,不得用于其他商业用途(如 [转卖]进行直接盈利或[编辑后售卖]进行间接盈利)。
2、本站所有内容均由合作方或网友上传,本站不对文档的完整性、权威性及其观点立场正确性做任何保证或承诺!文档内容仅供研究参考,付费前请自行鉴别。
3、如文档内容存在违规,或者侵犯商业秘密、侵犯著作权等,请点击“违规举报”。

碎片内容

(陕西专版)中考数学新突破复习 第一部分 教材同步复习 第三章 函数 35 二次函数的综合与应用课件

您可能关注的文档

确认删除?
VIP
微信客服
  • 扫码咨询
会员Q群
  • 会员专属群点击这里加入QQ群
客服邮箱
回到顶部