电脑桌面
添加小米粒文库到电脑桌面
安装后可以在桌面快捷访问

(筛选)第三章作业答案VIP免费

(筛选)第三章作业答案_第1页
1/9
(筛选)第三章作业答案_第2页
2/9
(筛选)第三章作业答案_第3页
3/9
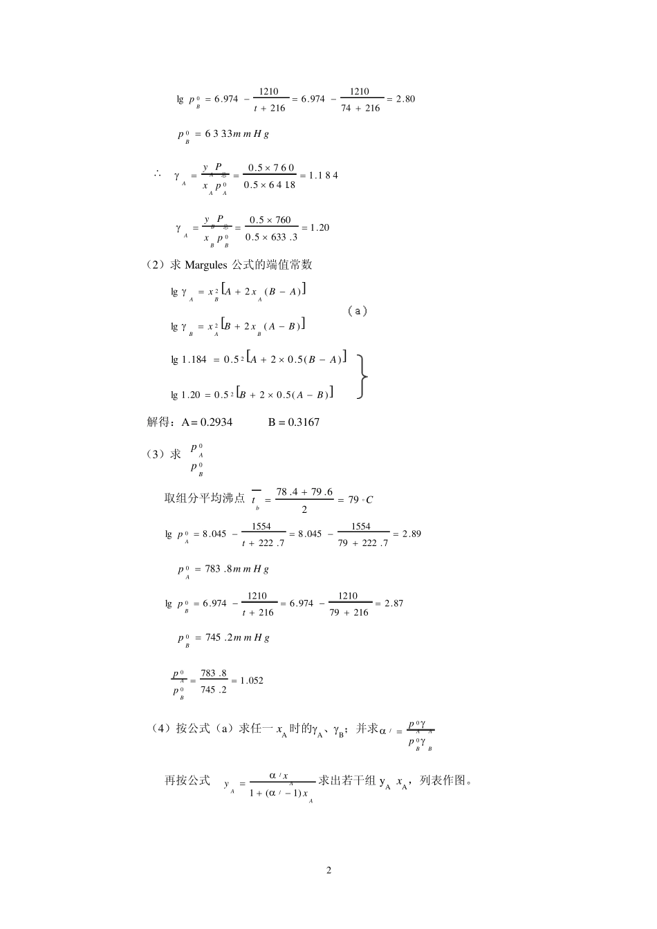
1 第三章 传质分离过程 3-2 正戊烷(Tb = 36.1℃)和正己烷(Tb = 68.7℃)的溶液可以认为是理想溶液,已知两个纯组分的饱和蒸汽压(汞压差计示数,mm)和温度(℃)的关系如下: 正戊烷 0.2 3 21 0 6 58 5 2.6lg01tp 正己烷 4.2 2 41 1 7 28 7 8.6lg02tp 试计算该二组分溶液的气-液平衡关系(用 y-x 函数关系表示)。 解: Ct b4.5227.681.36 11.30.2324.521065852.60.2321065852.6lg01tp m m H gp1 2 8 001  64.24.2244.521172878.64.2241172878.6lg02tp m m H gp4 4 002  91.244012800201pp xxy9 1.119 1.2 3-3 已知正戊烷和正己烷的正常沸点,若不用相对挥发度的概念,该二组分溶液在 p = 101.3kPa 时 y-x 关系如何计算,请写出计算过程。 提示:以泡点方程和露点方程表示。 3-4 乙醇和甲乙酮是非理想溶液。已知乙醇的正常沸点是 78.3℃,甲乙酮的正常沸点是 79.6℃,在常压时该二组分溶液有一个最低沸点 74℃,共沸组分是乙醇和甲乙酮各占 50%(摩尔百分数)。已知乙醇和甲乙酮的饱和蒸气压(汞压差计示数,mm)和温度(℃)的关系如下: 乙醇 7.2 2 21 5 5 40 4 5.8lg01tp 甲乙酮 2 1 61 2 1 09 7 4.6lg02tp 试作出该非理想二组分溶液的气液平衡相图。 解:设乙醇为 A,甲乙酮为 B (1)求恒沸点的 r 74℃下:81.27.222741554045.87.2221554045.8lg0tpA m m H gpA8.6410  2 80.2216741210974.62161210974.6lg0tpB m m H gpB3.6 3 30   1 8 4.18.6 4 15.07 6 05.00AAAApxPy总 20.13.6335.07605.00BBBApxPy总 (2)求Margules 公式的端值常数 )(2lg2ABxAxABA )(2lg2BAxBxBAB )(5.025.0184.1lg2ABA )(5.025.020.1lg2BAB 解得:A = 0.2934 B = 0.3167 (3)求 00BApp 取组分平均沸点 Ctb7926.794.78 89.27.222791554045.87.2221554045.8lg0tpA m m H gpA8.7830  87.2216791210974.62161210974.6lg0tpB m m H gpB2.7450  052.12.7458.78300BApp (4)按公式(a)求任一x A 时的A、B;并求BBAApp00/  再按公式 AAAxxy)1(1//...

1、当您付费下载文档后,您只拥有了使用权限,并不意味着购买了版权,文档只能用于自身使用,不得用于其他商业用途(如 [转卖]进行直接盈利或[编辑后售卖]进行间接盈利)。
2、本站所有内容均由合作方或网友上传,本站不对文档的完整性、权威性及其观点立场正确性做任何保证或承诺!文档内容仅供研究参考,付费前请自行鉴别。
3、如文档内容存在违规,或者侵犯商业秘密、侵犯著作权等,请点击“违规举报”。

碎片内容

(筛选)第三章作业答案

小辰4+ 关注
实名认证
内容提供者

出售各种资料和文档

确认删除?
VIP
微信客服
  • 扫码咨询
会员Q群
  • 会员专属群点击这里加入QQ群
客服邮箱
回到顶部